Реферат по теме показательные уравнения

Показательные уравнения, неравенства и их системы. курсовая. Показательные уравнения, неравенство и их системы
НазваниеПоказательные уравнения, неравенство и их системы
АнкорПоказательные уравнения, неравенства и их системы
Дата13.12.2020
Размер293.54 Kb.
Формат файлаРеферат по теме показательные уравнения
Имя файлакурсовая.docx
ТипРеферат
#160143
Подборка по базе: Социальное неравенство.pptx, Бедность и неравенство.docx, 13-14 неравенство.docx, 0088 Генлерное неравенство в макроэкономике.doc

Краевое государственное профессиональное образовательное автономное учреждение

«Камчатский политехнический техникум»

(КГПОАУ «Камчатский политехнический техникум»)

ИНДИВИДУАЛЬНЫЙ ПРОЕКТ

По дсциплине ________________________________

На тему: Показательные уравнения, неравенство и их системы.

Студента (ки) ________ курса, группы _________

Имя _____________ Отчество _________________

_______ ________________ 20 ___ г.

Петропавловск-Камчатский – 2020

СОДЕРЖАНИЕ

Название глав, разделовСтр.
Введение3
ГЛАВА 1 ПОКАЗАТЕЛЬНЫЕ УРАВНЕНИЯ И ИХ МЕТОДЫ5
1.1 Метод уравнивания показателей5
1.2 Метод введения новой переменной6
1.3 Метод вынесения общего множителя за скобки7
1.4 Функционально-графический метод7
1.5 Метод почленного деления8
1.6 Метод группировки9
ГЛАВА 2 ПОКАЗАТЕЛЬНЫЕ НЕРАВЕНСТВА И ИХ МЕТОДЫ10
2.1 Метод приведение к простейшим11
2.2 Решение неравенств, содержащих однородные функции относительно показательных функций12
2.3 Решение неравенств, сводящиеся к квадратным12
2.4 Решение неравенств, сводящиеся к рациональным13
2.5 Решение неравенств, решаемые графическим методом14
ГЛАВА 3 СИСТЕМЫ ПОКАЗАТЕЛЬНЫХ УРАВНЕНИЙ И НЕРАВЕНСТВ15
3.1 Системы, содержащие одно или два показательных уравнений15
3.2 Системы неравенств. Совокупность неравенств16
Заключение17
Список источников и литературы18

ВВЕДЕНИЕ

Решение большинства математических задач так или иначе связано с преобразованием числовых, алгебраических или функциональных выражений. Сказанное в особенности относится к решению показательных уравнений и неравенств .

При решении показательных уравнений и неравенств часто возникают трудности, связанные со следующими особенностями:

— при решении показательных уравнений и неравенств, ученики производят преобразования, которые не равносильны исходным уравнениям и неравенствам;

— незнание четкого алгоритма решения показательных уравнений, неравенств и их систем;

— при решении показательного уравнения и неравенства введением новой переменной забывают возвращаться к обратной замене.

Вышесказанное определяет актуальность выбранной темы и полезность ее изучения для будущей педагогической практики.

Цель данной работы:

— изучить требования государственных стандартов по теме «Показательные уравнения и неравенства»;

— проанализировать материал по теме в учебниках алгебры;

— систематизировать методы решения показательных уравнений и неравенств.

Объектом исследования является процесс обучения математике в старшей школе.

Предметом исследования являются методические особенности изучения показательных уравнений, неравенств и их систем в старших классах средней школы. Практическая значимость исследования заключается в том, что разработанные методические рекомендации по изучению показательных уравнений и неравенств могут быть использованы учителями и практикантами в школе, а также в ходе занятий по элементарной математике на педагогическом отделении университета. Весь теоретический материал по теме «Показательные уравнения, неравенства и их системы» сгруппирован, разобраны алгоритмы решения и приведены примеры.

Гипотеза исследования: учащиеся при решении различного рода задач получают первые навыки в исследовательской работе. У учащихся при этом развивается логическое мышление, повышается уровень математической культуры. А также развивают качества личности такие как: самостоятельность, целеустремленность, любознательность, интеллектуальное совершенствование.

Задачи работы:

  1. Узнать, что такое показательные уравнение и принцип их решения.
  2. Узнать, что такое показательные неравенства и принцип их решения.
  3. Узнать, что такое системы показательных уравнений и неравенств.

Методы исследования: анализ и обобщение специальной литературы по теме; сравнение.

Теоретическая и практическая значимость исследования: данные материалы по показательным уравнениям, неравенствам и их систем, можно использовать, как в школе, так и для индивидуального обучения, при подготовке к сдаче ЕГЭ, а также для тех, кто хочет углубить свои знания по этой теме.

Структура работы: состоит из трех глав, введения, заключения и списка литературы, и содержит 18 страниц.

ГЛАВА 1 ПОКАЗАТЕЛЬНЫЕ УРАВНЕНИЯ И ИХ МЕТОДЫ РЕШЕНИЯ
Показательным уравнением называется уравнение, содержащее переменную в показателе степени [2].

Например: Реферат по теме показательные уравнения

Простейшим показательным уравнением называется уравнение вида: Реферат по теме показательные уравнения

1) Реферат по теме показательные уравнения;

2) Реферат по теме показательные уравнения;

3) Реферат по теме показательные уравнения.

При решении показательных уравнений необходимо помнить, что решение любого показательного уравнения сводиться к решению простейших показательных уравнений.

Методы решения показательных уравнений:

— метод уравнивания показателей;

— метод введения новой переменной;

— метод вынесения общего множителя за скобки;

— метод почленного деления;

— метод группировки.
1.1 Метод уравнивания показателей

Алгоритм решения уравнения методом уравнивания показателей [3].:

— представить обе части показательного уравнения в виде степеней с одинаковыми основаниями;

— на основании теоремы, если Реферат по теме показательные уравнения, где Реферат по теме показательные уравненияравносильно уравнению вида Реферат по теме показательные уравнения, приравнивнять показатели степеней;

— решить полученное уравнение, согласно его виду (линейное, квадратное и т.д.).

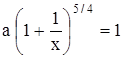
Задача. Решить уравнение: Реферат по теме показательные уравнения

Решение: Представим 27 как Реферат по теме показательные уравнения. Данное показательное уравнение имеет одинаковое основание 3.

Реферат по теме показательные уравнения

Данное уравнение равносильно уравнению

Реферат по теме показательные уравнения

Ответ: Реферат по теме показательные уравнения
1.2 Метод введения новой переменной

Алгоритм решения показательного уравнения методом введения новой переменной:

— определить возможность переписать данное уравнение в новом виде, позволяющем ввести новую переменную;

— ввести новую переменную;

— решить уравнение относительно новой переменной [4]..

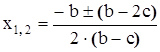
Задача. Решить уравнение: Реферат по теме показательные уравнения

Решение: Пусть Реферат по теме показательные уравнения, получим квадратное уравнение:

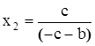
Реферат по теме показательные уравнения

Найдем корни квадратного уравнения Реферат по теме показательные уравнения— не удовлетворяет условию Реферат по теме показательные уравнения.

Реферат по теме показательные уравнения

Реферат по теме показательные уравнения

Реферат по теме показательные уравнения

1.3 Метод вынесения общего множителя за скобки

Решение показательных уравнений методом вынесения общего множителя за скобки [1].

Задача. Решить уравнение: Реферат по теме показательные уравнения

Реферат по теме показательные уравнения

Т.к. Реферат по теме показательные уравненияравносильно Реферат по теме показательные уравнения, запишем как:

Реферат по теме показательные уравнения

Вынесем Реферат по теме показательные уравнения:

Реферат по теме показательные уравнения

Реферат по теме показательные уравнения

Реферат по теме показательные уравнения

27 представим, как Реферат по теме показательные уравнения, тогда получим Реферат по теме показательные уравнения. Следовательно, Реферат по теме показательные уравнения

Ответ: 3.
1.4 Функционально-графический метод

Алгоритм решения показательного уравнения методом функционально-графическим методом:

— левую и правую части уравнения представить в виде функций;

— построить графики обеих функций в одной системе координат;

— найти точки пересечения графиков, если они есть;

— указать абсциссы точек пересечения, это корни уравнения.

Задача: Решить уравнение: Реферат по теме показательные уравнения

Строим таблицы значений:

Таблица 1. Реферат по теме показательные уравнения

X01-1
y19 Реферат по теме показательные уравнения

Таблица 2. Реферат по теме показательные уравнения

X010
y100

Построив графики этих функций, найдем абсциссу точки пересечения, она и будет корнем уравнения: Реферат по теме показательные уравнения.

График 1. Функций Реферат по теме показательные уравненияи Реферат по теме показательные уравнения

Реферат по теме показательные уравнения

1.5 Метод почленного деления

Данный метод заключается в том, чтобы разделить каждый член уравнения содержащий степени с одинаковыми показателями, но разными основаниями, на одну из степеней. Этот метод применяется для решения однородных показательных уравнений.

Задача. Решить уравнение: Реферат по теме показательные уравнения

Решение: Реферат по теме показательные уравнения Реферат по теме показательные уравнения

Разделим обе части уравнения почленно на Реферат по теме показательные уравнения, получим равносильное ему уравнение:

Реферат по теме показательные уравнения

Сделаем замену Реферат по теме показательные уравнения

Реферат по теме показательные уравнения

Реферат по теме показательные уравнения

Реферат по теме показательные уравнения

Ответ: Реферат по теме показательные уравнения

1.6 Метод группировки

Способ группировки заключается в том, чтобы собрать степени с разными основаниями в разных частях уравнения, а затем разделить обе части уравнения на одну из степеней [6].

Задача. Решить уравнение: Реферат по теме показательные уравнения

Реферат по теме показательные уравнения

Реферат по теме показательные уравнения

Реферат по теме показательные уравнения

Реферат по теме показательные уравнения

Реферат по теме показательные уравнения

Реферат по теме показательные уравнения

Реферат по теме показательные уравнения

Реферат по теме показательные уравнения

ГЛАВА 2 ПОКАЗАТЕЛЬНЫЕ НЕРАВЕНСТВА И ИХ МЕТОДЫ РЕШЕНИЯ
Неравенства, содержащие переменные в показателе степени, называются показательными.

Решение показательных неравенств основано на строгой монотонности показательной функции. Известно, что o при основании, большем единицы, показательная функция возрастает, при положительном основании, меньшем единицы, показательная функция убывает [3].
Неравенства вида Реферат по теме показательные уравнения

Решение неравенств подобного вида основано на следующих утверждениях:

При Реферат по теме показательные уравнениято неравенство Реферат по теме показательные уравненияравносильно Реферат по теме показательные уравнения; Реферат по теме показательные уравнения

При Реферат по теме показательные уравнения, то неравенство Реферат по теме показательные уравненияравносильно неравенству Реферат по теме показательные уравнения.

Заметим, что применяя какой-либо метод при решении неравенства, содержащего знак «>», можно этот же метод применять и при решении неравенств, содержащих знаки « 0, тогда Реферат по теме показательные уравненияпри Реферат по теме показательные уравненияравносильно числовому неравенству 1 Реферат по теме показательные уравненияпри Реферат по теме показательные уравнения
Неравенство вида Реферат по теме показательные уравнения

При решении неравенств подобного вида применяют логарифмирование обеих частей по основанию a или b. Учитывая свойства показательной функции, получаем:

При Реферат по теме показательные уравнения;

При Реферат по теме показательные уравнения.

Чтобы пользоваться свойством монотонности показательной функции следует путем надлежащих преобразований добиться одинаковых оснований в левой и правой частях неравенства.

Методы решения показательных неравенств:

— Показательные неравенства, сводящиеся к простейшим

— Однородные показательные неравенства

— Показательные неравенства, сводящиеся к квадратным

— Показательные неравенства, сводящиеся к рациональным

— Неравенства, решаемые графическим методом
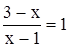
2.1 Метод приведение к простейшим

Задача. Решить неравенство : Реферат по теме показательные уравнения

Перепишем неравенство следующим образом:

Реферат по теме показательные уравнения

А далее вот так:

Реферат по теме показательные уравнения

Реферат по теме показательные уравнения

Так как Реферат по теме показательные уравнения– возрастающая функция, то знак неравенства остается без изменения при переходе к новому неравенству:

Реферат по теме показательные уравнения

Реферат по теме показательные уравнения

Ответ: Реферат по теме показательные уравнения.

2.2 Решение неравенств, содержащих однородные функции относительно показательных функций

Задание. Решить неравенство: Реферат по теме показательные уравнения.

Решение: Вынесем за скобку Реферат по теме показательные уравнения

Реферат по теме показательные уравнения

Реферат по теме показательные уравнения

Реферат по теме показательные уравнения

Реферат по теме показательные уравнения

Тогда переходим к следующему неравенству (в силу того, что основание степени больше 1, знак неравенства не меняется):

Реферат по теме показательные уравнения

Реферат по теме показательные уравнения

Ответ: Реферат по теме показательные уравнения.
2.3 Решение неравенств, сводящиеся к квадратным

Задание. Решить неравенство Реферат по теме показательные уравнения

Реферат по теме показательные уравнения

Реферат по теме показательные уравнения

Разделим обе части неравенства на 3:

Реферат по теме показательные уравнения

Мы видим квадратное неравенство относительно Реферат по теме показательные уравнениякоторое будем решать методом интервалов.

Имеем: Реферат по теме показательные уравнения

Реферат по теме показательные уравнения

Реферат по теме показательные уравненияили Реферат по теме показательные уравнения

Реферат по теме показательные уравненияили Реферат по теме показательные уравнения

Ответ: Реферат по теме показательные уравнения

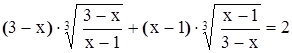
2.4 Решение неравенств, сводящиеся к рациональным

Решить неравенство: Реферат по теме показательные уравнения

Переносим все в левую сторону неравенства и приводим к общему знаменателю:

Реферат по теме показательные уравнения

Реферат по теме показательные уравнения

Реферат по теме показательные уравнения

Реферат по теме показательные уравнения

Можно «отбросить» сумму Реферат по теме показательные уравненияв силу ее положительности:

Реферат по теме показательные уравнения

Неравенство равносильно следующему:

Реферат по теме показательные уравнения Реферат по теме показательные уравнения

Реферат по теме показательные уравнения

Реферат по теме показательные уравнения

Реферат по теме показательные уравнения

Реферат по теме показательные уравнения

Реферат по теме показательные уравнения
Ответ: Реферат по теме показательные уравнения

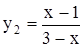
2.5 Решение неравенств, решаемые графическим методом

Решить неравенство: Реферат по теме показательные уравнения

Рассмотрим функции Реферат по теме показательные уравненияи Реферат по теме показательные уравнения. Обе они определены на Реферат по теме показательные уравнения. Первая – возрастает, вторая – убывает. Значит, уравнение Реферат по теме показательные уравненияимеет не более одного решения. Несложно заметить, что Реферат по теме показательные уравненияявляется корнем указанного уравнения.

Реферат по теме показательные уравнения

А значит, если вернуться к неравенству и посмотреть на него с графической точки зрения, мы должны взять те значения Реферат по теме показательные уравнения, которые отвечают за ту часть графика Реферат по теме показательные уравнения, что лежит выше графика Реферат по теме показательные уравнения, то есть Реферат по теме показательные уравнения.

Ответ: Реферат по теме показательные уравнения.
ГЛАВА 3 СИСТЕМЫ ПОКАЗАТЕЛЬНЫХ УРАВНЕНИЙ И НЕРАВЕНСТВ

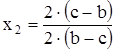
3.1 Системы, содержащие одно или два показательных уравнений

При решении систем уравнений, содержащих показательные функции, чаще всего используют традиционные методы решения систем уравнений: метод подстановки и метод замены переменных [8].

Реферат по теме показательные уравненияНапомним, что систему двух уравнений с двумя переменными обозначают фигурными скобками и обычно записывают в виде:

Реферат по теме показательные уравнения

Реферат по теме показательные уравнения

Реферат по теме показательные уравненияНесколько уравнений с двумя (или более) переменными образуют систему уравнений, если ставиться задача найти множество общих решений этих уравнений .

Реферат по теме показательные уравнения

Реферат по теме показательные уравнения

Множество упорядоченных пар, точек (в случае систем с тремя переменными) и т.д. значений переменных, обращающих в истинное равенство каждое уравнение системы, называется решением системы уравнений.

Решить систему уравнений – значит найти все ее решения или доказать, что решений нет. Система называется совместной, если она имеет хотя бы одно решение, и несовместной, если она не имеет ни одного решения.

Система уравнений называется определенной, если она имеет конечное число решений, и неопределенной, если она имеет бесчисленное множество решений.

Две системы называются равносильными, если они имеют одно и то же множество решений.

3.2 Системы неравенств. Совокупность неравенств

Несколько неравенств с одной переменной образуют систему неравенств, если ставиться задача об отыскании всех тех значений переменной, которые удовлетворяют одновременно каждому из этих неравенств (т.е. если отыскиваются все общие решения исходных неравенств).

Значение переменной, при котором каждое неравенство системы обращается в верное числовое неравенство, называется решением системы неравенств.

Две системы неравенств называются равносильными, если они имеют общее множество решений, удовлетворяющих этим неравенствам [7].

Очевидно, что решением системы неравенств является пересечение решений неравенств, образующих систему, а решением совокупности неравенств является объединение решений неравенств, образующих совокупность.

Несколько неравенств с одной переменной образуют совокупность неравенств, если ставится задача об отыскании всех тех значений переменной, каждое из которых удовлетворяет по крайней мере одному их этих неравенств.

Подводя итоги данного исследования, можно сделать следующие выводы:

1. Показательные уравнения и неравенства представляют интерес для учащихся. При решении показательных уравнений и неравенств развиваются навыки систематизации, логического мышления при выборе правильного метода решения, повышает творческие и умственные способности.

2. Для решения каждого вида уравнений и неравенств в работе представлен наиболее удобный способ. Трудности могут возникнуть при решении систем, содержащие одно или два показательных уравнения, т.к. нужно правильно определить метод решения.

В ходе исследования были решены следующие задачи:

— подробно рассмотрен теоретический материал;

— изучены различные методы решения показательных уравнений, неравенств и их систем (методы уравнивания показателей, введения новой переменной, функционально-графический, почленного деления, вынесения общего множителя за скобки, группировки).

Реферат: Уравнения и способы их решения

Министерство общего и профессионального образования РФ

Муниципальное образовательное учреждение

на тему: Уравнения и способы их решения

Выполнил: ученик 10 «А» класса

Проверила: учитель математики Исхакова Гульсум Акрамовна

Основная часть . 3

Список использованной литературы . 29

Уравнения. Алгебраически уравнения.

а) Основные определения.

б) Линейное уравненение и способ его решения.

в) Квадратные уравнения и способы его решения.

г) Двучленные уравнения способ их решения.

д) Кубические уравнения и способы его решения.

е) Биквадратное уравнение и способ его решения.

ё) Уравнения четвертой степени и способы его решения.

ж) Уравнения высоких степеней и способы из решения.

з) Рациональноное алгебраическое уравнение и способ его

и) Иррациональные уравнения и способы его решения.

к) Уравнения, содержащие неизвестное под знаком.

абсолютной величины и способ его решения.

а) Показательные уравнения и способ их решения.

б) Логарифмические уравнения и способ их решения.

Математическое образование, получаемое в общеобразовательной школе, является важнейшим компонентом общего образования и общей культуры современного человека. Практически все, что окружает современного человека – это все так или иначе связано с математикой. А последние достижения в физике, технике и информационных технологиях не оставляют никакого сомнения, что и в будущем положение вещей останется прежним. Поэтому решение многих практических задач сводится к решению различных видов уравнений, которые необходимо научиться решать.

Данная работа является попыткой обобщить и систематизировать изученный материал по выше указанной теме. Я расположил материал по степени его сложности, начиная с самого простого. В него вошли как известные нам виды уравнений из школьного курс алгебры, так и дополнительный материал. При этом я попытался показать виды уравнений, которые не изучаются в школьном курсе, но знание которых может понадобиться при поступлении в высшее учебное заведение. В своей работе при решении уравнений я не стал ограничиваться только действительным решением, но и указал комплексное, так как считаю, что иначе уравнение просто недорешено. Ведь если в уравнении нет действительных корней, то это еще не значит, что оно не имеет решений. К сожалению, из-за нехватки времени я не смог изложить весь имеющийся у меня материал, но даже по тому материалу, который здесь изложен, может возникнуть множество вопросов. Я надеюсь, что моих знаний хватит для того, чтобы дать ответ на большинство вопросов. Итак, я приступаю к изложению материала.

Математика. выявляет порядок,

симметрию и определенность,

а это – важнейшие виды прекрасного.

В те далекие времена, когда мудрецы впервые стали задумываться о равенствах содержащих неизвестные величины, наверное, еще не было ни монет, ни кошельков. Но зато были кучи, а также горшки, корзины, которые прекрасно подходили на роль тайников-хранилищ, вмещающих неизвестное количество предметов. «Ищется куча, которая вместе с двумя третями ее, половиной и одной седьмой составляет 37. «, — поучал во II тысячелетии до новой эры египетский писец Ахмес. В древних математических задачах Междуречья, Индии, Китая, Греции неизвестные величины выражали число павлинов в саду, количество быков в стаде, совокупность вещей, учитываемых при разделе имущества. Хорошо обученные науке счета писцы, чиновники и посвященные в тайные знания жрецы довольно успешно справлялись с такими задачами.

Дошедшие до нас источники свидетельствуют, что древние ученые владели какими-то общими приемами решения задач с неизвестными величинами. Однако ни в одном папирусе, ни в одной глиняной табличке не дано описания этих приемов. Авторы лишь изредка снабжали свои числовые выкладки скупыми комментариями типа: «Смотри!», «Делай так!», «Ты правильно нашел». В этом смысле исключением является «Арифметика» греческого математика Диофанта Александрийского (III в.) – собрание задач на составление уравнений с систематическим изложением их решений.

Однако первым руководством по решению задач, получившим широкую известность, стал труд багдадского ученого IX в. Мухаммеда бен Мусы аль-Хорезми. Слово «аль-джебр» из арабского названия этого трактата – «Китаб аль-джебер валь-мукабала» («Книга о восстановлении и противопоставлении») – со временем превратилось в хорошо знакомое всем слово «алгебра», а само сочинение аль-Хорезми послужило отправной точкой в становлении науки о решении уравнений.

уравнения. Алгебраические уравнения

В алгебре рассматриваются два вида равенств – тождества и уравнения.

Тождество – это равенство, которое выполняется при всех (допустимых) значениях входящих в него букв [1] ). Для записи тождества наряду со знаком Реферат по теме показательные уравнениятакже используется знак Реферат по теме показательные уравнения.

Уравнение – это равенство, которое выполняется лишь при некоторых значениях входящих в него букв. Буквы, входящие в уравнение, по условию задачи могут быть неравноправны: одни могут принимать все свои допустимые значения (их называют параметрами или коэффициентами уравнения и обычно обозначают первыми буквами латинского алфавита:Реферат по теме показательные уравнения, Реферат по теме показательные уравнения, Реферат по теме показательные уравнения. – или теми же буквами, снабженными индексами: Реферат по теме показательные уравнения, Реферат по теме показательные уравнения, . или Реферат по теме показательные уравнения, Реферат по теме показательные уравнения, . ); другие, значения которых требуется отыскать, называют неизвестными (их обычно обозначают последними буквами латинского алфавита: Реферат по теме показательные уравнения, Реферат по теме показательные уравнения, Реферат по теме показательные уравнения, . – или теми же буквами, снабженными индексами: Реферат по теме показательные уравнения, Реферат по теме показательные уравнения, . или Реферат по теме показательные уравнения, Реферат по теме показательные уравнения, . ).

В общем виде уравнение может быть записано так:

Реферат по теме показательные уравненияРеферат по теме показательные уравнения(Реферат по теме показательные уравнения, Реферат по теме показательные уравнения, . Реферат по теме показательные уравнения)Реферат по теме показательные уравнения.

В зависимости от числа неизвестных уравнение называют уравнением с одним, двумя и т. д. неизвестными.

Значение неизвестных, обращающие уравнение в тождество, называют решениями уравнения.

Решить уравнение – это значит найти множество его решений или доказать, что решений нет. В зависимости от вида уравнения множество решений уравнения может быть бесконечным, конечным и пустым.

Если все решения уравнения Реферат по теме показательные уравненияРеферат по теме показательные уравненияявляются решениями уравнения Реферат по теме показательные уравненияРеферат по теме показательные уравнения, то говорят, что уравнение Реферат по теме показательные уравнения Реферат по теме показательные уравненияесть следствие уравнения Реферат по теме показательные уравненияРеферат по теме показательные уравнения, и пишут

Реферат по теме показательные уравненияРеферат по теме показательные уравнения Реферат по теме показательные уравненияРеферат по теме показательные уравненияРеферат по теме показательные уравнения.

Реферат по теме показательные уравненияРеферат по теме показательные уравненияи Реферат по теме показательные уравненияРеферат по теме показательные уравнения

называют эквивалентными , если каждое из них является следствие другого, и пишут

Реферат по теме показательные уравненияРеферат по теме показательные уравнения Реферат по теме показательные уравненияРеферат по теме показательные уравненияРеферат по теме показательные уравнения.

Таким образом, два уравнения считаются эквивалентными, если множество решений этих уравнений совпадают.

Уравнение Реферат по теме показательные уравнения Реферат по теме показательные уравнениясчитают эквивалентным двум (или нескольким) уравнениям Реферат по теме показательные уравненияРеферат по теме показательные уравнения, Реферат по теме показательные уравненияРеферат по теме показательные уравнения, если множество решений уравнения Реферат по теме показательные уравнения Реферат по теме показательные уравнениясовпадает с объединением множеств решений уравнений Реферат по теме показательные уравненияРеферат по теме показательные уравнения, Реферат по теме показательные уравненияРеферат по теме показательные уравнения.

Н е к о т о р ы е э к в и в а л е н т н ы е у р а в н е н и я:

Уравнение Реферат по теме показательные уравненияэквивалентно уравнению Реферат по теме показательные уравненияРеферат по теме показательные уравнения, рассматриваемому на множестве допустимых значений искходного уравнения.

Уравнение Реферат по теме показательные уравненияэквивалентно уравнению Реферат по теме показательные уравненияРеферат по теме показательные уравнения, рассматриваемому на множестве допустимых значений искходного уравнения.

Реферат по теме показательные уравненияэквивалентно двум уравнениям Реферат по теме показательные уравнения Реферат по теме показательные уравненияи Реферат по теме показательные уравненияРеферат по теме показательные уравнения.

Уравнение Реферат по теме показательные уравнения Реферат по теме показательные уравненияэквивалентно уравнению Реферат по теме показательные уравненияРеферат по теме показательные уравнения.

Уравнение Реферат по теме показательные уравненияРеферат по теме показательные уравнения Реферат по теме показательные уравненияпри нечетном n эквивалентно уравнению Реферат по теме показательные уравненияРеферат по теме показательные уравнения, а при четном n эквивалентно двум уравнениям Реферат по теме показательные уравненияРеферат по теме показательные уравненияи Реферат по теме показательные уравненияРеферат по теме показательные уравнения.

Алгебраическим уравнением называется уравнение вида

Реферат по теме показательные уравненияРеферат по теме показательные уравнения,

где Реферат по теме показательные уравнения– многочлен n-й степени от одной или нескольких переменных.

Алгебраическим уравнением с одним неизвестным называется уравнение, сводящееся к уравнению вида

Реферат по теме показательные уравненияРеферат по теме показательные уравненияРеферат по теме показательные уравненияРеферат по теме показательные уравненияРеферат по теме показательные уравнения+Реферат по теме показательные уравненияРеферат по теме показательные уравнения+ . +Реферат по теме показательные уравненияРеферат по теме показательные уравнения+Реферат по теме показательные уравненияРеферат по теме показательные уравнения,

где n – неотрицательное целое число; коэффициенты многочлена Реферат по теме показательные уравнения, Реферат по теме показательные уравнения, Реферат по теме показательные уравнения, . Реферат по теме показательные уравнения, Реферат по теме показательные уравненияназываются коэффициентами (или параметрами ) уравнения и считаются заданными; х называется неизвестным и является искомым. Число n называется степенью уравнения.

Значения неизвестного х, обращающие алгебраическое уравнение в тождество, называются корнями (реже решениями ) алгебраического уравнения.

Есть несколько видов уравнений, которые решаются по готовым формулам. Это линейное и квадратное уравнения, а также уравнения вида F(х)Реферат по теме показательные уравнения, где F – одна из стандартных функций (степенная или показательная функция, логарифм, синус, косинус, тангенс или котангенс). Такие уравнения считаются простейшими. Так же существуют формулы и для кубического уравнения, но его к простейшим не относят.

Так вот, главная задача при решении любого уравнения – свести его к простейшим.

Все ниже перечисленные уравнения имеют так же и свое графическое решение, которое заключается в том, чтобы представить левую и правую части уравнения как две одинаковые функции от неизвестного. Затем строится график сначала одной функции, а затем другой и точка(и) пересечения двух графиков даст решение(я) исходного уравнения. Примеры графического решения всех уравнений даны в приложении.

Линейным уравнением называется уравнение первой степени.

Реферат по теме показательные уравнения, (1)

где a и b – некоторые действительные числа.

Линейное уравнение всегда имеет единственный корень Реферат по теме показательные уравнения, который находится следующим образом.

Прибавляя к обеим частям уравнения (1) число Реферат по теме показательные уравнения, получаем уравнение

Реферат по теме показательные уравнения, (2)

эквивалентное уравнению (1). Разделив обе части уравнения (2) на величину Реферат по теме показательные уравнения, получаем корень уравнения (1):

Реферат по теме показательные уравнения.

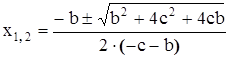
Алгебраическое уравнение второй степени.

Реферат по теме показательные уравнения, (3)

где Реферат по теме показательные уравнения, Реферат по теме показательные уравнения, Реферат по теме показательные уравнения– некоторые действительные числа, называется квадратным уравнением . Если Реферат по теме показательные уравнения, то квадратное уравнение (3) называется приведенным .

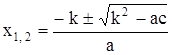
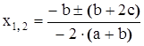
Корни квадратного уравнения вычисляются по формуле

Реферат по теме показательные уравнения,

Выражение Реферат по теме показательные уравненияназывается дискриминантом квадратного уравнения.

если Реферат по теме показательные уравнения, то уравнение имеет два различных действительных корня;

если Реферат по теме показательные уравнения, то уравнение имеет один действительный корень кратности 2;

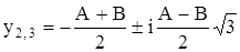
если Реферат по теме показательные уравнения, то уравнение действительных корней не имеет, а имеет два комплексно сопряженных корня:

Реферат по теме показательные уравнения, Реферат по теме показательные уравнения,

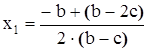
Частными видами квадратного уравнения (3) являются:

1) Приведенное квадратное уравнение (в случае, если Реферат по теме показательные уравнения), которое обычно записывается в виде

Реферат по теме показательные уравнения.

Корни приведенного квадратного уравнения вычисляются по формуле

Реферат по теме показательные уравнения. (4)

Эту формулу называют формулой Виета – по имени французского математика конца XVI в., внесшего значительный вклад в становление алгебраической символики.

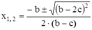
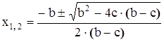
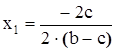
2) Квадратное уравнение с четным вторым коэффициентом, которое обычно записывается в виде

Реферат по теме показательные уравнения( Реферат по теме показательные уравнения— целое число).

Корни этого квадратного уравнения удобно вычислять по формуле

Реферат по теме показательные уравнения. (5)

Формулы (4) и (5) являются частными видами формулы для вычисления корней полного квадратного уравнения.

Корни приведенного квадратного уравнения

Реферат по теме показательные уравнения

связаны с его коэффициентами Формулами Виета

Реферат по теме показательные уравнения ,

Реферат по теме показательные уравнения .

В случае, если приведенное квадратное уравнение имеет действительные корни, формулы Виета позволяют судить как о знаках, так и об относительной величине корней квадратного уравнения, а именно:

если Реферат по теме показательные уравнения, Реферат по теме показательные уравнения, то оба корня отрицательны;

если Реферат по теме показательные уравнения, Реферат по теме показательные уравнения, то оба корня положительны;

если Реферат по теме показательные уравнения, Реферат по теме показательные уравнения, то уравнение имеет корни разных знаков, причем отрицательный корень по абсолютной величине больше положительного;

если Реферат по теме показательные уравнения, Реферат по теме показательные уравнения, уравнение имеет корни разных знаков, причем отрицательный корень по абсолютной величине меньше положительного корня.

Перепишем еще раз квадратное уравнение

Реферат по теме показательные уравнения(6)

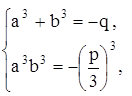
и покажем еще один способ как можно вывести корни квадратного уравнения (6) через его коэффициенты и свободный член. Если

Реферат по теме показательные уравнения+Реферат по теме показательные уравнения+Реферат по теме показательные уравнения, (7)

то корни квадратного уравнения вычисляются по формуле

Реферат по теме показательные уравнения,

Реферат по теме показательные уравнения , Реферат по теме показательные уравнения.

которая может быть получена в результате следующих преобразований исходного уравнения, а так же с учетом формулы (7).

Реферат по теме показательные уравненияРеферат по теме показательные уравненияРеферат по теме показательные уравнения,

Заметим, что Реферат по теме показательные уравнения, поэтому

Реферат по теме показательные уравненияРеферат по теме показательные уравненияРеферат по теме показательные уравнения,

Реферат по теме показательные уравнения Реферат по теме показательные уравненияРеферат по теме показательные уравнения Реферат по теме показательные уравненияРеферат по теме показательные уравнения .

Реферат по теме показательные уравненияРеферат по теме показательные уравненияРеферат по теме показательные уравнения,

но Реферат по теме показательные уравнения, из формулы (7) поэтому окончательно

Реферат по теме показательные уравнения.

Если положить, что Реферат по теме показательные уравненияРеферат по теме показательные уравнения+Реферат по теме показательные уравнения, то

Реферат по теме показательные уравненияРеферат по теме показательные уравненияРеферат по теме показательные уравнения,

Заметим, что Реферат по теме показательные уравнения, поэтому

Реферат по теме показательные уравненияРеферат по теме показательные уравненияРеферат по теме показательные уравнения,

Реферат по теме показательные уравненияРеферат по теме показательные уравненияРеферат по теме показательные уравнения,

но Реферат по теме показательные уравнения, Реферат по теме показательные уравненияпоэтому окончательно

Реферат по теме показательные уравнения.

Реферат по теме показательные уравнения Реферат по теме показательные уравненияРеферат по теме показательные уравнения Реферат по теме показательные уравненияРеферат по теме показательные уравнения Реферат по теме показательные уравненияРеферат по теме показательные уравнения.

Уравнения n-й степени вида

Реферат по теме показательные уравнения(8)

называется двучленным уравнением . При Реферат по теме показательные уравненияи Реферат по теме показательные уравнениязаменой [2] )

Реферат по теме показательные уравнения,

где Реферат по теме показательные уравнения— арифметическое значение корня, уравнение (8) приводится к уравнению

Реферат по теме показательные уравнения,

которое и будет далее рассматриваться.

Двучленное уравнение Реферат по теме показательные уравненияпри нечетном n имеет один действительный корень Реферат по теме показательные уравнения. В множестве комплексных чисел это уравнение имеет n корней (из которых один действительный и Реферат по теме показательные уравнениякомплексных):

Реферат по теме показательные уравнения( Реферат по теме показательные уравнения0, 1, 2, . Реферат по теме показательные уравнения). (9)

Двучленное уравнение Реферат по теме показательные уравненияпри четном n в множестве действительных чисел имеет два корня Реферат по теме показательные уравнения, а в множестве комплексных чисел n корней, вычисляемых по формуле (9).

Двучленное уравнение Реферат по теме показательные уравненияпри четном n имеет один действительный корней Реферат по теме показательные уравнения, а в множестве комплексных чисел Реферат по теме показательные уравнениякорней, вычисляемых по формуле

Реферат по теме показательные уравнения( Реферат по теме показательные уравнения0, 1, 2, . Реферат по теме показательные уравнения). (10)

Двучленное уравнение Реферат по теме показательные уравненияпри четном n имеет действительный корней не имеет. В множестве комплексных чисел уравнение имеет Реферат по теме показательные уравнениякорней, вычисляемых по формуле (10).

Приведем краткую сводку множеств корней двучленного уравнения для некоторых конкретных значений n.

1) Реферат по теме показательные уравнения(Реферат по теме показательные уравнения).

Уравнение имеет два действительных корня Реферат по теме показательные уравнения.

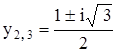
2) Реферат по теме показательные уравнения(Реферат по теме показательные уравнения).

Уравнение имеет один дествительный корень Реферат по теме показательные уравненияи два комплексных корня

Реферат по теме показательные уравнения.

3) Реферат по теме показательные уравнения(Реферат по теме показательные уравнения).

Уравнение имеет два действительных корния Реферат по теме показательные уравненияи два комплексных корня Реферат по теме показательные уравнения.

4) Реферат по теме показательные уравнения(Реферат по теме показательные уравнения).

Уравнение действительных корней не имеет. Комплексные корни: Реферат по теме показательные уравнения.

5) Реферат по теме показательные уравнения(Реферат по теме показательные уравнения).

Уравнение имеет один дествительный корень Реферат по теме показательные уравненияи два комплексных корня

Реферат по теме показательные уравнения.

6) Реферат по теме показательные уравнения(Реферат по теме показательные уравнения).

Уравнение действительных корней не имеет. Комплексные корни:

Реферат по теме показательные уравнения, Реферат по теме показательные уравнения.

Если квадратные уравнения умели решать еще математики Вавилонии и Древней Индии, то кубические, т.е. уравнения вида

Реферат по теме показательные уравнения, где Реферат по теме показательные уравнения,

оказались «крепким орешком». В конце XV в. профессор математики в университетах Рима и Милана Лука Пачоли в своем знаменитом учебнике «Сумма знаний по арифметике, геометрии, отношениям и пропорциональности» задачу о нахождении общего метода для решения кубических уравнений ставил в один ряд с задачей о квадратуре круга. И все же усилиями итальянских алгебраистов такой метод вскоре был найден.

Начнем с упрощения

Если кубическое уравнение общего вида

Реферат по теме показательные уравнения, где Реферат по теме показательные уравнения,

разделить на Реферат по теме показательные уравнения, то коэффициент при Реферат по теме показательные уравнениястанет равен 1. Поэтому в дальнейшем будем исходить из уравнения

Реферат по теме показательные уравнения. (11)

Так же как в основе решения квадратного уравнения лежит формула квадрата суммы, решение кубического уравнения опирается на формулу куба суммы:

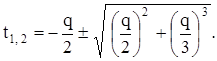
Реферат по теме показательные уравнения

Чтобы не путаться в коэффициентах, заменим здесь Реферат по теме показательные уравненияна Реферат по теме показательные уравненияи перегруппируем слагаемые:

Реферат по теме показательные уравнения. (12)

Мы видим, что надлежащим выбором Реферат по теме показательные уравнения, а именно взяв Реферат по теме показательные уравнения, можно добиться того, что правая часть этой формулы будет отличаться от левой части уравнения (11) только коэффициентом при Реферат по теме показательные уравненияи свободным членом. Сложим уравнения (11) и (12) и приведем подобные:

Реферат по теме показательные уравнения.

Если здесь сделать замену Реферат по теме показательные уравнения, получим кубическое уравнение относительно Реферат по теме показательные уравнениябез члена с Реферат по теме показательные уравнения:

Реферат по теме показательные уравнения.

Итак, мы показали, что в кубическом уравнении (11) с помощью подходящей подстановки можно избавиться от члена, содержащего квадрат неизвестного. Поэтому теперь будем решать уравнение вида

Реферат по теме показательные уравнения. (13)

Давайте еще раз обратимся к формуле куба суммы, но запишем ее иначе:

Реферат по теме показательные уравнения.

Сравните эту запись с уравнением (13) и попробуйте установить связь между ними. Даже с подсказкой это непросто. Надо отдать должное математикам эпохи Возрождения, решившим кубическое уравнение, не владея буквенной символикой. Подставим в нашу формулу Реферат по теме показательные уравнения:

Реферат по теме показательные уравнения, или

Реферат по теме показательные уравнения.

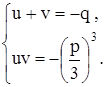
Теперь уже ясно: для того, чтобы найти корень уравнения (13), достаточно решить систему уравнений

Реферат по теме показательные уравненияили Реферат по теме показательные уравнения

и взять в качестве Реферат по теме показательные уравнениясумму Реферат по теме показательные уравненияи Реферат по теме показательные уравнения. Заменой Реферат по теме показательные уравнения, Реферат по теме показательные уравненияэта система приводится к совсем простому виду:

Реферат по теме показательные уравнения

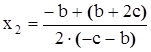
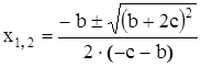
Дальше можно действовать по-разному, но все «дороги» приведут к одному и тому же квадратному уравнению. Например, согласно теореме Виета, сумма корней приведенного квадратного уравнения равна коэффициенту при Реферат по теме показательные уравнениясо знаком минус, а произведение – свободному члену. Отсюда следует, что Реферат по теме показательные уравненияи Реферат по теме показательные уравнения— корни уравнения

Реферат по теме показательные уравнения.

Выпишем эти корни:

Реферат по теме показательные уравнения

Переменные Реферат по теме показательные уравненияи Реферат по теме показательные уравненияравны кубическим корням из Реферат по теме показательные уравненияи Реферат по теме показательные уравнения, а искомое решение кубического уравнения (13) – сумма этих корней:

Реферат по теме показательные уравнения.

Эта формула известная как формула Кардано .

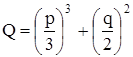
Реферат по теме показательные уравнения

подстановкой Реферат по теме показательные уравненияприводится к «неполному» виду

Реферат по теме показательные уравнения, Реферат по теме показательные уравнения, Реферат по теме показательные уравнения. (14)

Корни Реферат по теме показательные уравнения, Реферат по теме показательные уравнения, Реферат по теме показательные уравнения«неполного» кубичного уравнения (14) равны

Реферат по теме показательные уравнения, Реферат по теме показательные уравнения,

Реферат по теме показательные уравнения, Реферат по теме показательные уравнения,

Реферат по теме показательные уравнения.

Пусть «неполное» кубичное уравнение (14) действительно.

а) Если Реферат по теме показательные уравнения(«неприводимый» случай), то Реферат по теме показательные уравненияи

Реферат по теме показательные уравнения,

Реферат по теме показательные уравнения,

Реферат по теме показательные уравнения.

(b) Если Реферат по теме показательные уравнения, Реферат по теме показательные уравнения, то

Реферат по теме показательные уравнения, Реферат по теме показательные уравнения,

Реферат по теме показательные уравненияРеферат по теме показательные уравнения, Реферат по теме показательные уравненияРеферат по теме показательные уравнения.

(с) Если Реферат по теме показательные уравнения, Реферат по теме показательные уравнения, то

Реферат по теме показательные уравнения, Реферат по теме показательные уравнения,

Реферат по теме показательные уравненияРеферат по теме показательные уравнения, Реферат по теме показательные уравненияРеферат по теме показательные уравнения.

Во всех случаях берется действительное значение кубичного корня.

Алгебраическое уравнение четвертой степени.

Реферат по теме показательные уравнения,

где a, b, c – некоторые действительные числа, называется биквадратным уравнением . Заменой Реферат по теме показательные уравненияуравнение сводится к квадратному уравнению Реферат по теме показательные уравненияс последующим решением двух двучленных уравнений Реферат по теме показательные уравненияи Реферат по теме показательные уравнения( Реферат по теме показательные уравненияи Реферат по теме показательные уравнения— корни соответствующего квадратного уравнения).

Если Реферат по теме показательные уравненияи Реферат по теме показательные уравнения, то биквадратное уравнение имеет четыре действительных корня:

Реферат по теме показательные уравнения, Реферат по теме показательные уравнения.

Если Реферат по теме показательные уравнения, Реферат по теме показательные уравнения[3] ), то биквадратное уравнение имеет два действительных корня Реферат по теме показательные уравненияи мнимых сопряженных корня:

Реферат по теме показательные уравнения.

Если Реферат по теме показательные уравненияи Реферат по теме показательные уравнения, то биквадратное уравнение имеет четыре чисто мнимых попарно сопряженных корня:

Реферат по теме показательные уравнения, Реферат по теме показательные уравнения.

Уравнения четвертой степени

Метод решения уравнений четвертой степени нашел в XVI в. Лудовико Феррари, ученик Джероламо Кардано. Он так и называется – метод Феррари .

Как и при решении кубического и квадратного уравнений, в уравнении четвертой степени

Реферат по теме показательные уравнения

можно избавиться от члена Реферат по теме показательные уравненияподстановкой Реферат по теме показательные уравнения. Поэтому будем считать, что коэффициент при кубе неизвестного равен нулю:

Реферат по теме показательные уравнения.

Идея Феррари состояла в том, чтобы представить уравнение в виде Реферат по теме показательные уравнения, где левая часть – квадрат выражения Реферат по теме показательные уравнения, а правая часть – квадрат линейного уравнения Реферат по теме показательные уравненияот Реферат по теме показательные уравнения, коэффициенты которого зависят от Реферат по теме показательные уравнения. После этого останется решить два квадратных уравнения: Реферат по теме показательные уравненияи Реферат по теме показательные уравнения. Конечно, такое представление возможно только при специальном выборе параметра Реферат по теме показательные уравнения. Удобно взять Реферат по теме показательные уравненияв виде Реферат по теме показательные уравнения, тогда уравнение перепишется так:

Реферат по теме показательные уравнения. (15)

Правая часть этого уравнения – квадратный трехчлен от Реферат по теме показательные уравнения. Полным квадратом он будет тогда, когда его дискриминант равен нулю, т.е.

Реферат по теме показательные уравнения, или

Реферат по теме показательные уравнения.

Это уравнение называется резольвентным (т.е. «разрешающим»). Относительно Реферат по теме показательные уравненияоно кубическое, и формула Кардано позволяет найти какой-нибудь его корень Реферат по теме показательные уравнения. При Реферат по теме показательные уравненияправая часть уравнения (15) принимает вид

Реферат по теме показательные уравнения,

а само уравнение сводится к двум квадратным:

Реферат по теме показательные уравнения.

Их корни и дают все решения исходного уравнения.

Решим для примера уравнение

Реферат по теме показательные уравнения.

Здесь удобнее будет воспользоваться не готовыми формулами, а самой идеей решения. Перепишем уравнение в виде

Реферат по теме показательные уравнения

и добавим к обеим частям выражение Реферат по теме показательные уравнения, чтобы в левой части образовался полный квадрат:

Реферат по теме показательные уравнения.

Теперь приравняем к нулю дискриминант правой части уравнения:

Реферат по теме показательные уравнения,

или, после упрощения,

Реферат по теме показательные уравнения.

Один из корней полученного уравнения можно угадать, перебрав делители свободного члена: Реферат по теме показательные уравнения. После подстановки этого значения получим уравнение

Реферат по теме показательные уравнения,

откуда Реферат по теме показательные уравнения. Корни образовавшихся квадратных уравнений — Реферат по теме показательные уравненияи Реферат по теме показательные уравнения. Разумеется, в общем случае могут получиться и комплексные корни.

Реферат по теме показательные уравнения

подстановкой Реферат по теме показательные уравненияприводится к «неполному» виду

Реферат по теме показательные уравнения. (16)

Корни Реферат по теме показательные уравнения, Реферат по теме показательные уравнения, Реферат по теме показательные уравнения, Реферат по теме показательные уравнения«неполного» уравнения четвертой степени (16) равны одному из выражений

Реферат по теме показательные уравненияРеферат по теме показательные уравненияРеферат по теме показательные уравнения,

в которых сочетания знаков выбираются так, чтобы удовлетворялось условие

Реферат по теме показательные уравненияРеферат по теме показательные уравненияРеферат по теме показательные уравнения,

причем Реферат по теме показательные уравнения, Реферат по теме показательные уравненияи Реферат по теме показательные уравнения— корни кубичного уравнения

Реферат по теме показательные уравнения.

Уравнения высоких степеней

Разрешимость в радикалах

Формула корней квадратного уравнения известна с незапамятных времен, а в XVI в. итальянские алгебраисты решили в радикалах уравнения третьей и четвертой степеней. Таким образом, было установлено, что корни любого уравнения не выше четвертой степени выражаются через коэффициенты уравнения формулой, в которой используются только четыре арифметические операции (сложение, вычитание, умножение, деление) и извлечение корней степени, не превышающей степень уравнения. Более того, все уравнения данной степени Реферат по теме показательные уравнения(Реферат по теме показательные уравнения) можно «обслужить» одной общей формулой. При подстановке в нее коэффициентов уравнения получим все корни – и действительные, и комплексные.

После этого естественно возник вопрос: а есть ли похожие общие формулы для решения уравнений пятой степени и выше? Ответ на него смог найти норвежский математик Нильс Хенрик Абель в начале XIX в. Чуть раньше этот результат был указан, но недостаточно обоснован итальянцем Паоло Руффини. Теорема Абеля-Руффини звучит так:

Общее уравнение степени Реферат по теме показательные уравненияпри Реферат по теме показательные уравнениянеразрешимо в радикалах.

Таким образом, общей формулы, применимой ко всем уравнениям данной степени Реферат по теме показательные уравнения , не существует. Однако это не значит, что невозможно решить в радикалах те или иные частные виды уравнений высоких степеней. Сам Абель нашел такое решение для широкого класса уравнений произвольно высокой степени – так называемых абелевых уравнений. Теорема Абеля-Руффини не исключает даже и того, что корни каждого конкретного алгебраического уравнения можно записать через его коэффициенты с помощью знаков арифметических операций и радикалов, в частности, что любое алгебраическое число, т.е. корень уравнения вида

Реферат по теме показательные уравнения, Реферат по теме показательные уравнения,

с целыми коэффициентами, можно выразить в радикалах через рациональные числа. На самом деле такое выражение существует далеко не всегда. Это следует из теоремы разрешимости алгебраических уравнений, построенной выдающимся французским математиком Эваристом Галуа в его «Мемуаре об условиях разрешимости уравнений в радикалах» (1832 г.; опубликован в 1846 г.).

Подчеркнем, что в прикладных задачах нас интересует только приближенные значения корней уравнения. Поэтому его разрешимость в радикалах здесь обычно роли не играет. Имеются специальные вычислительные методы, позволяющие найти корни любого уравнения с любой наперед заданной точностью, ничуть не меньшей, чем дают вычисления по готовым формулам.

Уравнения, которые решаются

Хотят уравнения высоких степеней в общем случае неразрешимы в радикалах, да и формулы Кардано и Феррари для уравнений третьей и четвертой степеней в школе не проходят, в учебниках по алгебре, на вступительных экзаменах в институты иногда встречаются задачи, где требуется решить уравнения выше второй степени. Обычно их специально подбирают так, чтобы корни уравнений можно было найти с помощью некоторых элементарных приемов.

В основе одного из таких приемов лежит теорема о рациональных корнях многочлена:

Если несократимая дробь Реферат по теме показательные уравненияявляется корнем многочлена Реферат по теме показательные уравненияс целыми коэффициентами, то ее числитель Реферат по теме показательные уравненияявляется делителем свободного члена Реферат по теме показательные уравнения, а знаменатель Реферат по теме показательные уравнения— делителем старшего коэффициента Реферат по теме показательные уравнения.

Для доказательства достаточно подставить в уравнение Реферат по теме показательные уравнения Реферат по теме показательные уравненияи умножить уравнение на Реферат по теме показательные уравнения. Получим

Реферат по теме показательные уравнения.

Все слагаемые в левой части, кроме последнего, делятся на Реферат по теме показательные уравнения, поэтому и Реферат по теме показательные уравненияделится на Реферат по теме показательные уравнения, а поскольку Реферат по теме показательные уравненияи Реферат по теме показательные уравнения— взаимно простые числа, Реферат по теме показательные уравненияявляется делителем Реферат по теме показательные уравнения. Доказательство для Реферат по теме показательные уравненияаналогично.

С помощью этой теоремы можно найти все рациональные корни уравнения с целыми коэффициентами испытанием конечного числа «кандидатов». Например, для уравнения

Реферат по теме показательные уравнения,

старший коэффициент которого равен 1, «кандидатами» будут делители числа –2. Их всего четыре: 1, -1, 2 и –2. Проверка показывает, что корнем является только одно из этих чисел: Реферат по теме показательные уравнения.

Если один корень найден, можно понизить степень уравнения. Согласно теореме Безу,

остаток от деления многочлена Реферат по теме показательные уравненияна двучлен Реферат по теме показательные уравненияравен Реферат по теме показательные уравнения, т. е. Реферат по теме показательные уравнения.

Из теоремы непосредственно следует, что

Если Реферат по теме показательные уравнения— корень многочлена Реферат по теме показательные уравнения, то многочлен делится на Реферат по теме показательные уравнения, т. е. Реферат по теме показательные уравнения, где Реферат по теме показательные уравнения— многочлен степени, на 1 меньшей, чем Реферат по теме показательные уравнения.

Продолжая наш пример, вынесем из многочлена

Реферат по теме показательные уравнения

множитель Реферат по теме показательные уравнения. Чтобы найти частное Реферат по теме показательные уравнения, можно выполнить деление «уголком»:

Реферат по теме показательные уравненияРеферат по теме показательные уравнения

Реферат по теме показательные уравненияРеферат по теме показательные уравнения

Реферат по теме показательные уравнения

Реферат по теме показательные уравнения

Реферат по теме показательные уравнения

Реферат по теме показательные уравнения

Но есть и более простой способ. Он станет понятен из примера:

Реферат по теме показательные уравнения Теперь остается решить квадратное уравнение Реферат по теме показательные уравнения. Его корни:

Реферат по теме показательные уравнения.

Метод неопределенных коэффициентов

Если у многочлена с целыми коэффициентами рациональных корней не оказалось, можно попробовать разложить его на множители меньшей степени с целыми коэффициентами. Рассмотрим, например, уравнение

Реферат по теме показательные уравнения.

Представим левую часть в виде произведения двух квадратных трехчленов с неизвестными (неопределенными) коэффициентами:

Реферат по теме показательные уравнения.

Раскроем скобки в правой части и приведем подобные:

Реферат по теме показательные уравнения.

Теперь, приравнивая коэффициенты при одинаковых степенях Реферат по теме показательные уравненияв обеих частях, получим систему уравнений

Реферат по теме показательные уравнения

Попытка решить эту систему в общем виде вернула бы нас назад, к решению исходного уравнения. Но целые корни, если они существуют, нетрудно найти и подбором. Не ограничивая общности, можно считать, что Реферат по теме показательные уравнения, тогда последнее уравнение показывает, что надо рассмотреть лишь два варианта: Реферат по теме показательные уравнения, Реферат по теме показательные уравненияи Реферат по теме показательные уравненияРеферат по теме показательные уравнения. Подставляя эти пары значений в остальные уравнения, убеждаемся, что первая из них дает искомое разложение: Реферат по теме показательные уравнения. Этот способ решения называется методом неопределенных коэффициентов .

Если уравнение имеет вид Реферат по теме показательные уравнения, где Реферат по теме показательные уравненияи Реферат по теме показательные уравнения— многочлены, то замена Реферат по теме показательные уравнениясводит его решение к решению двух уравнений меньших степеней: Реферат по теме показательные уравненияи Реферат по теме показательные уравнения.

Возвратным алгебраическим уравнением называется уравнение четной степени вида

Реферат по теме показательные уравнения,

в которых коэффициенты, одинаково отстоят от концов, равны: Реферат по теме показательные уравнения, Реферат по теме показательные уравненияи т. д. Такое уравнение сводится к уравнению вдвое меньшей степени делением на Реферат по теме показательные уравненияи последующей заменой Реферат по теме показательные уравнения.

Рассмотрим, например, уравнение

Реферат по теме показательные уравнения.

Поделив его на Реферат по теме показательные уравнения(что законно, так как Реферат по теме показательные уравненияне является корнем), получаем

Реферат по теме показательные уравнения.

Реферат по теме показательные уравнения.

Поэтому величина Реферат по теме показательные уравненияудовлетворяет квадратному уравнению

Реферат по теме показательные уравнения,

решив которое можно найти Реферат по теме показательные уравненияиз уравнения Реферат по теме показательные уравнения.

При решении возвратных уравнений более высоких степеней обычно используют тот факт, что выражение Реферат по теме показательные уравненияпри любом Реферат по теме показательные уравненияможно представить как многочлен степени Реферат по теме показательные уравненияот Реферат по теме показательные уравнения.

Рациональные алгебраические уравнения

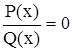
Рациональным алгебраическим уравнением называется уравнение вида

Реферат по теме показательные уравнения, (17)

где Реферат по теме показательные уравненияи Реферат по теме показательные уравнения— многочлены. Далее для определенности будем полагать, что Реферат по теме показательные уравнения— многочлен m-й степени, а Реферат по теме показательные уравнения— многочлен n-й степени.

Множество допустимых значений рационального алгебраического уравнения (17)

задается условием Реферат по теме показательные уравнения, т. е. Реферат по теме показательные уравнения, Реферат по теме показательные уравнения, . Реферат по теме показательные уравнениягде Реферат по теме показательные уравнения, Реферат по теме показательные уравнения, . Реферат по теме показательные уравнения— корни многочлена Реферат по теме показательные уравнения.

Метод решения уравнения (17) заключается в следующем. Решаем уравнение

Реферат по теме показательные уравнения,

корни которого обозначим через

Реферат по теме показательные уравнения.

Сравниваем множества корней многочленов Реферат по теме показательные уравненияи Реферат по теме показательные уравнения. Если никакой корень многочлена Реферат по теме показательные уравненияне является корнем многочлена Реферат по теме показательные уравнения, то все корни многочлена Реферат по теме показательные уравненияявляются корнями уравнения (17). Если какой-нибудь корень многочлена Реферат по теме показательные уравненияявляется корнем многочленаРеферат по теме показательные уравнения, то необходимо сравнить из кратности: если кратность корня многочлена Реферат по теме показательные уравнениябольше кратности корня многочлена Реферат по теме показательные уравнения, то этот корень является корнем (17) с кратностью, равной разности кратностей корней делимого и делителя; в противном случае корень многочлена Реферат по теме показательные уравненияне является корнем рационального уравнения (17).

П р и м е р. Найдем действительные корни уравнения

Реферат по теме показательные уравнения,

где Реферат по теме показательные уравнения, Реферат по теме показательные уравнения.

Многочлен Реферат по теме показательные уравненияимеет два действительных корня (оба простые):

Реферат по теме показательные уравнения, Реферат по теме показательные уравнения.

Многочлен Реферат по теме показательные уравненияимеет один простой корень Реферат по теме показательные уравнения. Следовательно, уравнение имеет один действительный корень Реферат по теме показательные уравнения.

Решая то же самое уравнение в множестве комплексных чисел, получим, что уравнение Реферат по теме показательные уравненияимеет, кроме указанного действительного корня, два комплексно сопряженных корня:

Реферат по теме показательные уравнения, Реферат по теме показательные уравнения.

Уравнение, содержащее неизвестное (либо рациональное алгебраическое выражение от неизвестного) под знаком радикала, называют иррациональным уравнением . В элементарной математике решения иррациональных уравнений отыскивается в множестве действительных чисел.

Всякое иррациональное уравнение с помощью элементарных алгебраических операций (умножение, деление, возведение в целую степень обеих частей уравнения) может быть сведено к рациональному алгебраическому уравнению. При этом следует иметь в виду, что полученное рациональное алгебраическое уравнение может оказаться неэквивалентным исходному иррациональному уравнению, а именно может содержать «лишние» корни, которые не будут корнями исходного иррационального уравнения. Поэтому, найдя корни полученного рационального алгебраического уравнения, необходимо проверить, а будут ли все корни рационального уравнения корнями иррационального уравнения.

В общем случае трудно указать какой-либо универсальный метод решения любого иррационального уравнения, так как желательно, чтобы в результате преобразований исходного иррационального уравнения получилось не просто какое-то рациональное алгебраическое уравнение, среди корней которого будут и корни данного иррационального уравнения, а рациональное алгебраическое уравнение образованное из многочленов как можно меньшей степени. Желание получить то рациональное алгебраическое уравнение, образованное из многочленов как можно меньшей степени, вполне естественно, так как нахождение всех корней рационального алгебраического уравнения само по себе может оказаться довольно трудной задачей, решить которую полностью мы можем лишь в весьма ограниченном числе случаев.

Приведем некоторые стандартные, наиболее часто применяемые методы решения иррациональных алгебраических уравнений.

1) Одним из самых простых приемов решения иррациональных уравнений является метод освобождения от радикалов путем последовательного возведения обеих частей уравнения в соответствующую натуральную степень. При этом следует иметь в виду, что при возведении обеих частей уравнения в нечетную степень полученное уравнение, эквивалентное исходному, а при возведении обеих частей уравнения в четную степень полученное уравнение будет, вообще говоря, неэквивалентным исходному уравнению. В этом легко убедиться, возведя обе части уравнения

Реферат по теме показательные уравнения

в любую четную степень. В результате этой операции получается уравнение

Реферат по теме показательные уравнения

множество решений которого представляет собой объединение множеств решений:

Реферат по теме показательные уравненияи Реферат по теме показательные уравнения.

Однако, несмотря на этот недостаток, именно процедура возведения обеих частей уравнения в некоторую (часто четную) степень является самой распространенной процедурой сведения иррационального уравнения к рациональному уравнению.

П р и м е р 1. Решить уравнение

Реферат по теме показательные уравнения, (18)

где Реферат по теме показательные уравнения, Реферат по теме показательные уравнения, Реферат по теме показательные уравнения— некоторые многочлены.

В силу определения операции извлечения корня в множестве действительных чисел допустимые значения неизвестного Реферат по теме показательные уравненияопределяются условиями

Реферат по теме показательные уравнения, Реферат по теме показательные уравнения.

Возведя обе части уравнения (18) в квадрат, получим уравнение

Реферат по теме показательные уравнения.

После повторного возведения в квадрат уравнение превращается в алгебраическое уравнение

Реферат по теме показательные уравнения. (19)

Так как обе части уравнения (18) возводились в квадрат, может оказаться, что не все корни уравнения (19) будет являться решениями исходного уравнения, необходима проверка корней.

2) Другим примером решения иррациональных уравнений является способ введения новых неизвестных, относительно которых получается либо более простое иррациональное уравнение, либо рациональное уравнение.

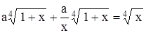
П р и м е р 2. Решить иррациональное уравнение

Реферат по теме показательные уравнения.

Множество допустимых значений этого уравнения:

Реферат по теме показательные уравнения.

Положив Реферат по теме показательные уравнения, после подстановки получим уравнение

Реферат по теме показательные уравнения

или эквивалентное ему уравнение

Реферат по теме показательные уравнения,

которое можно рассматривать как квадратное уравнение относительно Реферат по теме показательные уравнения. Решая это уравнение, получим

Реферат по теме показательные уравнения, Реферат по теме показательные уравнения.

Следовательно, множество решений исходного иррационального уравнения представляет собой объединение множеств решений следующих двух уравнений:

Реферат по теме показательные уравнения, Реферат по теме показательные уравнения.

Возведя обе части каждого из этих уравнений в куб, получим два рациональных алгебраических уравнения:

Реферат по теме показательные уравнения, Реферат по теме показательные уравнения.

Решая эти уравнения, находим, что данное иррациональное уравнение имеет единственный корень Реферат по теме показательные уравнения.

В заключение заметим, что при решении иррациональных уравнений не следует начинать решение уравнение с возведения обеих частей уравнений в натуральную степень, пытаясь свести решение иррационального уравнения к решению рационального алгебраического уравнения. Сначала необходимо посмотреть, нельзя ли сделать какое-нибудь тождественное преобразование уравнения, которое может существенно упростить его решение.

П р и м е р 3. Решить уравнение

Реферат по теме показательные уравнения. (20)

Множество допустимых значений данного уравнения: Реферат по теме показательные уравнения. Сделаем следующие преобразования данного уравнения:

Реферат по теме показательные уравненияРеферат по теме показательные уравненияРеферат по теме показательные уравненияРеферат по теме показательные уравненияРеферат по теме показательные уравнения.

Далее, записывая уравнение в виде

Реферат по теме показательные уравнения,

при Реферат по теме показательные уравненияуравнение решений иметь не будет;

при Реферат по теме показательные уравненияуравнение может быть записано в виде

Реферат по теме показательные уравнения.

При Реферат по теме показательные уравненияданное уравнение решений не имеет, так как при любом Реферат по теме показательные уравнения, принадлежащем множеству допустимых значений уравнения, выражение, стоящее в левой части уравнения, положительно.

При Реферат по теме показательные уравненияуравнение имеет решение

Реферат по теме показательные уравнения.

Принимая во внимание, что множество допустимых решений уравнения определяется условием Реферат по теме показательные уравнения, получаем окончательно:

При Реферат по теме показательные уравнениярешением иррационального уравнения (20) будет

Реферат по теме показательные уравнения.

При всех остальных значениях Реферат по теме показательные уравненияуравнение решений не имеет, т. е. множество его решений – пустое множество.

Уравнения, содержащие неизвестное под знаком абсолютной величины

Уравнения, содержащие неизвестное под знаком абсолютной величины, можно свести к уравнениям, не содержащим знака абсолютной величины, используя определение модуля. Так, например, решение уравнения

Реферат по теме показательные уравнения(21)

сводится к решению двух уравнений с дополнительными условиями.

1) Если Реферат по теме показательные уравнения, то уравнение (21) приводится к виду

Реферат по теме показательные уравнения. (22)

Решения этого уравнения: Реферат по теме показательные уравнения, Реферат по теме показательные уравнения. Условию Реферат по теме показательные уравненияудовлетворяет второй корень квадратного уравнения (22), и число 3 является корнем уравнения (21).

2) Если Реферат по теме показательные уравнения, уравнение (21) приводится к виду

Реферат по теме показательные уравнения.

Корнями этого уравнения будут числа Реферат по теме показательные уравненияи Реферат по теме показательные уравнения. Первый корень Реферат по теме показательные уравненияне удовлетворяет условию Реферат по теме показательные уравненияи поэтому не является решением данного уравнения (21).

Таким образом, решениями уравнения (21) будут числа 3 и Реферат по теме показательные уравнения.

Заметим, что коэффициенты уравнения, содержащего неизвестное под знаком абсолютной величины, можно подобрать таким образом, что решениями уравнения будут все значения неизвестного, принадлежащие некоторому промежутку числовой оси. Например, решим уравнение

Реферат по теме показательные уравнения. (23)

Рассмотрим числовую ось Ох и отметим на ней точки 0 и 3 (ноли функций, стоящих под знаком абсолютной величины). Эти точки разобьют числовую ось на три промежутка (рис. 1):

Реферат по теме показательные уравнения, Реферат по теме показательные уравнения, Реферат по теме показательные уравнения.

1) При Реферат по теме показательные уравненияуравнение (23) приводится к виду

Реферат по теме показательные уравнения.

В промежутке Реферат по теме показательные уравненияпоследнее уравнение решений не имеет.

Аналогично, при Реферат по теме показательные уравненияуравнение (23) приводится к виду

Реферат по теме показательные уравнения

и в промежутке Реферат по теме показательные уравнениярешений не имеет.

2) При Реферат по теме показательные уравненияуравнение (23) приводится к виду

Реферат по теме показательные уравнения,

т. е. обращается в тождество. Следовательно, любое значение Реферат по теме показательные уравненияявляется решением уравнения (23).

Уравнение, не сводящееся к алгебраическому уравнению с помощью алгебраических преобразований, называется трансцендентным уравнением [4] ).

Простешими трансцендентными уравнениями являются показательные, логарифмические и тригонометрические уравнения.

Реферат по теме показательные уравнения

Показательным уравнением называется уравнение, в котором неизвестное входит только в показатели степеней при некоторых постоянных основаниях.

Простейшим показательным уравнением, решение которого сводится к решению алгебраического уравнения, является уравнение вида

Реферат по теме показательные уравнения, (24)

где Реферат по теме показательные уравненияи Реферат по теме показательные уравнения— некоторые положительные числа Реферат по теме показательные уравнения. Показательное уравнение (24) эквивалентно алгебраическому уравнению

Реферат по теме показательные уравнения.

В простейшем случае, когда Реферат по теме показательные уравнения, показательное уравнение (24) имеет решение

Реферат по теме показательные уравнения

Множество решений показательного уравнения вида

Реферат по теме показательные уравнения, (25)

где Реферат по теме показательные уравнения— некоторый многочлен, находится следующим образом.

Вводится новая переменная Реферат по теме показательные уравнения, и уравнение (25) решается как алгебраическое относительно неизвестного Реферат по теме показательные уравнения. После этого решение исходного уравнения (25) сводится к решению простейших показательных уравнений вида (24).

П р и м е р 1. Решить уравнение

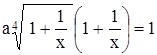
Реферат по теме показательные уравнения.

Записывая уравнение в виде

Реферат по теме показательные уравнения

и вводя новую переменную Реферат по теме показательные уравнения, получаем кубическое уравнение относительно переменной Реферат по теме показательные уравнения:

Реферат по теме показательные уравнения.

Нетрудно убедиться, что данное кубическое уравнение имеет единственный рациональный корень Реферат по теме показательные уравненияи два иррациональных корня: Реферат по теме показательные уравненияи Реферат по теме показательные уравнения.

Таким образом, решение исходного уравнения сведено к решению простейших показательных уравнений:

Реферат по теме показательные уравнения, Реферат по теме показательные уравнения, Реферат по теме показательные уравнения.

Последнее из перечисленных, уравнений решений не имеет. Множество решений первого и второго уравнений:

Реферат по теме показательные уравненияи Реферат по теме показательные уравнения.

Н е к о т о р ы е п р о с т е й ш и е п о к а з а т е л ь н ы е у р а в н е н и я:

1) Уравнение вида

Реферат по теме показательные уравнения

заменой Реферат по теме показательные уравнениясводится к квадратному уравнению

Реферат по теме показательные уравнения.

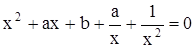
2) Уравнение вида

Реферат по теме показательные уравнения

заменой Реферат по теме показательные уравнениясводится к квадратному уравнению

Реферат по теме показательные уравнения.

3) Уравнение вида

Реферат по теме показательные уравнения

заменой Реферат по теме показательные уравнениясводится к квадратному уравнению

Реферат по теме показательные уравнения.

Логарифмическим уравнением называется уравнение, в котором неизвестное входит в виде аргумента логарифмической функции.

Простейшим логарифмическим уравнением является уравнение вида

Реферат по теме показательные уравнения, (26)

где Реферат по теме показательные уравнения— некоторое положительно число, отличное от единицы, Реферат по теме показательные уравнения— любое действительное число. Логарифмическое уравнение (26) эквивалентно алгебраическому уравнению

Реферат по теме показательные уравнения.

В простейшем случае, когда Реферат по теме показательные уравнения, логарифмическое уравнение (26) имеет решение

Реферат по теме показательные уравнения.

Множество решений логарифмического уравнения вида Реферат по теме показательные уравнения, где Реферат по теме показательные уравнения— некоторый многочлен указанного неизвестного, находится следующим образом.

Вводится новая переменная Реферат по теме показательные уравнения, и уравнение (25) решается как алгебраическое уравнение относительно Реферат по теме показательные уравнения. После этого решаются простейшие логарифмические уравнения вида (25).

П р и м е р 1. Решить уравнение

Реферат по теме показательные уравнения. (27)

Относительно неизвестного Реферат по теме показательные уравненияданное уравнение – квадратное:

Реферат по теме показательные уравнения.

Корни этого уравнения: Реферат по теме показательные уравнения, Реферат по теме показательные уравнения.

Решая логарифмические уравнения

Реферат по теме показательные уравнения, Реферат по теме показательные уравнения,

получаем решения логарифмического уравнения (27): Реферат по теме показательные уравнения, Реферат по теме показательные уравнения.

В некоторых случаях, для того чтобы свести решение логарифмического уравнения к последовательному решению алгебраического и простейших логарифмических уравнений, необходимо предварительно сделать подходящие преобразования логарифмов, входящих в уравнение. Такими преобразованиями могут быть преобразование суммы логарифмов двух величин в логарифм произведения этих величин, переход от логарифма с одним основанием к логарифму с другим основанием и т. д.

П р и м е р 2. Решить уравнение

Реферат по теме показательные уравнения. (28)

Для того чтобы свести решение данного уравнения к последовательному решению алгебраического и простейших логарифмических уравнений, необходимо прежде всего привести все логарифмы к одному основанию (здесь, например, к основанию 2). Для этого воспользуемся формулой

Реферат по теме показательные уравнения,

в силу которой Реферат по теме показательные уравнения. Подставив в уравнение (28) вместо Реферат по теме показательные уравненияравную ему величинуРеферат по теме показательные уравнения, получаем уравнение

Реферат по теме показательные уравненияРеферат по теме показательные уравнения.

Заменой Реферат по теме показательные уравненияэто уравнение сводится к квадратному уравнению относительно неизвестного Реферат по теме показательные уравнения:

Реферат по теме показательные уравнения.

Корни этого квадратного уравнения: Реферат по теме показательные уравнения, Реферат по теме показательные уравнения. Решаем уравнения Реферат по теме показательные уравненияи Реферат по теме показательные уравнения:

Реферат по теме показательные уравненияРеферат по теме показательные уравненияРеферат по теме показательные уравненияРеферат по теме показательные уравненияРеферат по теме показательные уравнения,

Реферат по теме показательные уравненияРеферат по теме показательные уравненияРеферат по теме показательные уравненияРеферат по теме показательные уравненияРеферат по теме показательные уравнения,

П р и м е р 3. Решить уравнение

Реферат по теме показательные уравнения.

Преобразуя разность логарифмов двух величин в логарифм частного этих величин:

Реферат по теме показательные уравнения,

сводим данное уравнение к простейшему логарифмическому уравнению

Реферат по теме показательные уравненияРеферат по теме показательные уравненияРеферат по теме показательные уравненияРеферат по теме показательные уравненияРеферат по теме показательные уравнения.

Математика, как и любая другая наука не стоит на месте, вместе с развитием общества меняются и взгляды людей, возникают новые мысли и идеи. И XX век не стал в этом смысле исключением. Появление компьютеров внесло свои корректировки в способы решения уравнений и значительно их облегчило. Но компьютер не всегда может быть под рукой (экзамен, контрольная), поэтому знание хотя бы самых главных способов решения уравнений необходимо знать. Использование уравнений в повседневной жизни – редкость. Они нашли свое применение во многих отраслях хозяйства и практически во всех новейших технологиях.

В данной работе были представлены далеко не все, способы решения уравнений и даже не все их виды, а только самые основные. Я надеюсь, что мое сочинение может послужить неплохим справочным материалом при решении тех или иных уравнений. В заключении хотелось бы отметить, что при написании данного сочинения я не ставил себе цели показать все виды уравнений, а излагал лишь имеющийся у меня материал.

Список использованной литературы

Глав. ред. М. Д. Аксенова. Энциклопедия для детей. Том 11. Математика. – М.: Аванта+, 1998. – 688 с.

Цыпкин А. Г. Под ред. С. А. Степанова. Справочник по математике для средней школы. – М.: Наука, 1980.- 400 с.

Г. Корн и Т. Корн. Справаочник по математике для начуных работников и инженеров. – М.: Наука, 1970.- 720 с.

Курсовая работа на тему Методика изучения показательных уравнений неравенств

Обращаем Ваше внимание, что в соответствии с Федеральным законом N 273-ФЗ «Об образовании в Российской Федерации» в организациях, осуществляющих образовательную деятельность, организовывается обучение и воспитание обучающихся с ОВЗ как совместно с другими обучающимися, так и в отдельных классах или группах.

«Актуальность создания школьных служб примирения/медиации в образовательных организациях»

Свидетельство и скидка на обучение каждому участнику

ГЛАВА I . ТЕОРИТИЧЕСКИЕ АСПЕКТЫ ИЗУЧЕНИЯ ПОКАЗАТЕЛЬНЫХ УРАВНЕНИЙ ……………………………………………………………………. 5

1.1 Анализ учебников по алгебре и началам анализа по теме «Показательные уравнения и неравенства» …………………………………………………………

1.2 Показательные уравнения и методы их решения …….…………………….8

ГЛАВА II . МЕТОДИКА ИЗУЧЕНИЯ ПОКАЗАТЕЛЬНЫХ УРАВНЕНИЙ, НЕРАВЕНСТВ И ИХ СИСТЕМ . ……………………..…………..15

2.1 Анализ заданий на решение показательных уравнений и неравенств в составе ЕГЭ……..………………………………………………………. ……. 15

2.2 Методические особенности изучения показательных уравнений и неравенств…. ……………………………………………………….…………..18

Актуальность работы . В школьном курсе математики важное место отводится решению показательных уравнений и неравенств и системам, содержащие показательные уравнения. Впервые ученики встречаются с показательными уравнениями и неравенствами в 10 классе после того, как познакомятся с показательной функцией и ее свойствами, а системы, содержащие показательные уравнения и неравенства в 11 классе. Показательные уравнения, неравенства, системы, содержащие показательные уравнения, встречаются в заданиях ЕГЭ. Поэтому изучению методов их решения должно быть уделено значительное внимание, т.к. в заданиях ЕГЭ системы, содержащие показательные уравнения и неравенства могут быть и комбинированными. И для того, чтобы решить правильно систему уравнений или неравенств, нужно правильно решить показательное уравнение или неравенство.

При решении показательных уравнений и неравенств часто возникают трудности, связанные со следующими особенностями:

— незнание четкого алгоритма решения показательных уравнений, неравенств и их систем;

— при решении показательных уравнений и неравенств, ученики производят преобразования, которые не равносильны исходным уравнениям и неравенствам;

— при решении показательного уравнения и неравенства введением новой переменной забывают возвращаться к обратной замене.

Объектом является процесс обучения математике в старшей школе.

Предметом являются методические особенности изучения показательных уравнений, неравенств и их систем в старших классах средней школы.

Цель данной работы: изучить теоретический материал по теме, проанализировать данную тему в учебниках по алгебре и началам анализа, систематизировать задания ЕГЭ на решение показательных уравнений и неравенств, систематизировать и обобщить методические рекомендации по решению показательных уравнений и неравенств.

Для достижения поставленной цели необходимо решить следующие задачи:

· изучить требования государственных стандартов по теме «Показательные уравнения и неравенства»;

· проанализировать материал по теме в учебниках алгебры и начал анализа;

· систематизировать методы решения показательных уравнений и неравенств;

· систематизировать и обобщить методические особенности изучения данной темы.

В процессе работы используются следующие методы исследования: изучение и анализ теоретических и методологических источников по теме исследования, качественный и количественный анализ данных.

Структура: работа состоит из введения, двух глав, заключения и списка литературы. Работа составляет 31 страницы.

ГЛАВА I . ТЕОРИТИЧЕСКИЕ АСПЕКТЫ ИЗУЧЕНИЯ ПОКАЗАТЕЛЬНЫХ УРАВНЕНИЙ

1.1 Анализ учебников по алгебре и началам анализа по теме «Показательные уравнения и неравенства»

В данном параграфе мы проведем анализ школьных учебников алгебра и начал анализа для того, чтобы узнать в каком классе изучают показательные уравнения и как преподносится эта тема в каждых из учебников. Для сравнения возьмем 3 учебника алгебры для старших классов общеобразовательной школы.

— А.Г. Мордкович, Алгебра и начала анализа 10-11 классы, учебник для общеобразовательных учреждений;

— А.Н. Колмогоров, Алгебра и начала математического анализа, учебник для 10-11 классов общеобразовательных учреждений;

— Ш.В. Алимов, Алгебра и начала математического анализа 10-11 классы, учебник для общеобразовательных учреждений.

Впервые тему «Показательные уравнения неравенства» изучают в 10 классе. Проанализировав учебники, мы можем узнать в чем сходство и различие теоретического материала, заданий.

Учебник алгебры А.Г. Мордковича дает цельное и полное представление о школьном курсе алгебры и начала анализа, отвечает требованиям обязательного минимума содержания образования. Изложение теоретического материала ведется очень подробно. Построение курса алгебры осуществляется на основе приоритетной функциональной линии.

Прежде чем познакомить нас с методами решения показательных уравнений и неравенств автор знакомит нас с такими понятиями как, корень n -ой степени числа и его свойства. Далее мы знакомимся с функцией y Реферат по теме показательные уравнения, ее графиком и свойствами. После мы изучаем логарифмическую функцию, ее свойства. И уже потом переходим к показательной функции и затем, к решению показательных уравнений и неравенств.

Сначала вводится понятие показательного уравнения, как

показательным называют уравнения вида: Реферат по теме показательные уравнения, где Реферат по теме показательные уравнения

положительное число, отличное от 1, и уравнения сводящиеся к нему. Далее приведена теорема о решении показательного уравнения с одинаковыми основаниями. В учебнике предложены методы решения показательных уравнений: метод уравнивания показателей, функционально-графический метод и метод введения новой переменной.

В каждом параграфе представлено большое количества заданий. Упражнения сконцентрированы по двум блокам. Первый блок содержит задания базового и среднего уровня сложности, второй блок включает задания среднего и повышенного уровня.

По данной теме предлагаются задания:

· решить систему уравнений;

Следует отметить, что учебник «Алгебры и начала анализа10-11 классы» используется в обычном классе. Для профильных классов есть другой учебник этого автора.

Учебник «Алгебры и начала анализа» А.Н. Колмогорова является самым распространенным учебником алгебры в 10-11 классах.

Теоретический материал иллюстрируется большим количеством примеров. Задания для учащихся делаться на две части. Первая часть заданий обязательный минимум для учеников, который они должны уметь решать. В следующей части задания чуть сложнее. Также в конце каждой темы можно увидеть задания и вопросы на повторение, что помогает к подготовки к контрольной работе.

В учебники хорошо изложен дополнительный материал, интересные факты, биография ученных, происхождение терминов. Это позволяет развить интерес к предмету и окружающему миру.

Содержание учебника Колмогорова мы сначала изучаем главу функции, в которой изучаем показательную функцию. Затем в следующей главе, переходим к решению показательных уравнений и неравенств. Однако, четкого определения показательного уравнения и неравенства в учебнике нет.

В учебнике представлены следующие задания:

— решите систему уравнений;

Учебник «Алгебра и начала математического анализа» Ш.В. Алимова пользуется меньшей популярностью среди учебников алгебры. Изложение учебника уже близко подходит к математическому анализу. В учебнике очень много разобранных примеров, графических иллюстраций к решению задач.

Задания, предоставляемые в параграфе, разделены на два уровня: средний и высокий. В конце учебника к каждому параграфу есть дополнительные задачи, которые помогают подготовиться к контрольной работе.

Прежде чем перейти к решению показательных уравнений и неравенств автор предлагает сначала познакомиться с показательной функцией, ее графиком и свойствами. В учебнике представлены методы: метод уравнивания показателей, вынесения общего множителя за скобки, метод введения новой переменной. При решении показательных неравенств, также автор предлагает обратить внимание на возрастание и убывание функции. В учебнике предлагается пример решения показательного неравенства графическим методом. После изучения методов решения показательных уравнений и неравенств, сразу дается решение систем, содержащих показательные уравнения и неравенств.

Задания, представленные в учебнике:

— доказать, что уравнение имеет один корень при фиксированном значении Реферат по теме показательные уравнения;

— решить графически уравнения;

— найти целые значения неравенства на отрезке;

— решить графически неравенства;

Проанализировав учебники, можно сделать вывод о том, что во всех трех учебниках почти одинаковый порядок изучения темы, но методы решения показательных уравнений представлены по-разному. Теоретическое изложение этой темы, задания представленные в учебнике алгебры и начал анализа изложены лучше под редакцией А.Г. Мордковича.

1.2 Показательные уравнения и методы их решения

Показательным уравнением называется уравнение, содержащее переменную в показателе степени. Например: Реферат по теме показательные уравнения

Простейшим показательным уравнением называется уравнение вида: Реферат по теме показательные уравнения.

Пример показательных уравнений:

1. Реферат по теме показательные уравнения

2. Реферат по теме показательные уравнения

3. Реферат по теме показательные уравнения

При решении показательных уравнений необходимо помнить, что решение любого показательного уравнения сводиться к решению простейших показательных уравнений.

Методы решения показательных уравнений:

· Ме т од уравнивания показателей;

· Метод введения новой переменной;

· метод вынесения общего множителя за скобки;

· метод почленного деления ;

Метод уравнивания показателей

Алгоритм решения уравнения методом уравнивания показателей:

· представить обе части показательного уравнения в виде степеней с одинаковыми основаниями;

· на основании теоремы, если Реферат по теме показательные уравнениягде Реферат по теме показательные уравнения, равносильно уравнению вида Реферат по теме показательные уравнения,приравниваем показатели степеней;

· решаем полученное уравнение, согласно его виду(линейное, квадратное и т.д.);

· записываем ответ. [ 1 c.105]

Пример 1. Решить уравнение: Реферат по теме показательные уравнения

Решение. Представим 27 как Реферат по теме показательные уравнения. Наше показательное уравнение имеет одинаковое основание 3: Реферат по теме показательные уравнения. Данное уравнение равносильно уравнению Реферат по теме показательные уравнения.

Ответ: Реферат по теме показательные уравнения.

Пример 2. Решить уравнение: Реферат по теме показательные уравнения

Решение. Упростим показательное уравнение Реферат по теме показательные уравнения, т.к. в показательном уравнении основания одинаковы, следует, что оно равносильно уравнению: Реферат по теме показательные уравнения. Решаем это линейное уравнение и получаем: Реферат по теме показательные уравнения.

Ответ: Реферат по теме показательные уравнения.

Метод введения новой переменно

Способ подстановки применяется в более сложных примерах. Он заключается в следующем. Показательное уравнение можно решить, введя новое обозначение. После подстановки в исходное уравнение нового обозначения получим новое, более простое уравнение, решив которое, возвращаемся к подстановке и находим корни исходного уравнения.

Алгоритм решения показательного уравнения методом введения новой переменной:

· определить возможность переписать данное уравнение в новом виде, позволяющем ввести новую переменную;

· решаем уравнение относительно новой переменной;

· записываем ответ. [1 c.109]

Пример1. Решить уравнение: Реферат по теме показательные уравнения

Решение. Упростим показательное уравнение Реферат по теме показательные уравнения. Применим метод введения новой переменной, пусть Реферат по теме показательные уравнения. Данное уравнение можно записать в виде Реферат по теме показательные уравнения. Решая это квадратное уравнение, получаем Реферат по теме показательные уравнения. Теперь задача сводится к решению совокупности уравнений Реферат по теме показательные уравненияРеферат по теме показательные уравнения

Ответ: Реферат по теме показательные уравнения

Метод вынесения общего множителя за скобки

Вынесение множителя за скобки применяется для разложения многочлена на множители. Для этого нужно сначала каждое слагаемое многочлена заменить произведением двух множителей. Например, в многочлене Реферат по теме показательные уравненияу каждого слагаемого есть общий множитель Реферат по теме показательные уравнения. Поэтому этот многочлен можно представить так: Реферат по теме показательные уравнения.

Теперь это выражение можно представить в виде произведения двух множителей, один из которых общий множитель Реферат по теме показательные уравнения, а второй — сумма Реферат по теме показательные уравнения, которая заключается в скобки: Реферат по теме показательные уравнения.

Таким образом, общий множитель был вынесен за скобки и в результате этого тождественного преобразования первоначальное выражение представлено в виде другого, тождественного ему: Реферат по теме показательные уравнения.

Вынесение общего множителя за скобки применяется, например, при тождественных преобразованиях дробей (сокращение дробей, приведение к общему знаменателю), при решении уравнений и в других задачах. [3 c .170]

Решение показательных уравнений методом вынесения общего множителя за скобки

Пример1. Решить уравнение: Реферат по теме показательные уравнения.

Решение: Реферат по теме показательные уравнения, т.к. Реферат по теме показательные уравненияравносильно Реферат по теме показательные уравнения, запишем как Реферат по теме показательные уравнения. Вынесем Реферат по теме показательные уравненияза скобку: Реферат по теме показательные уравнения. Отсюда

Реферат по теме показательные уравнения. Представим 27 как Реферат по теме показательные уравнения.Тогда получимуравнение Реферат по теме показательные уравнения. Следовательно, Реферат по теме показательные уравнения.

Ответ: Реферат по теме показательные уравнения.

Метод основан на использовании графических иллюстраций или каких-либо свойств функций.

В одной системе координат строим графики функций, записанные в левой и в правой частях уравнения, затем находим точку (точки) их пересечения. Абсцисса найденной точки является решением уравнения.

· левую и правую части уравнения представить в виде функций;

· построить графики обеих функций в одной системе координат;

· найти точки пересечения графиков, если они есть;

· указать абсциссы точек пересечения, это корни уравнения[3 c . 118]

Пример 1. Решить уравнение: Реферат по теме показательные уравнения.

Поделиться или сохранить к себе:
Название: Уравнения и способы их решения
Раздел: Рефераты по математике
Тип: реферат Добавлен 01:21:12 28 февраля 2011 Похожие работы
Просмотров: 2859 Комментариев: 36 Оценило: 12 человек Средний балл: 3.8 Оценка: 4 Скачать