Приведение уравнения поверхности порядка к каноническому виду

Поверхности второго порядка: их виды, уравнения, примеры
Содержание
  1. Общее уравнение поверхности второго порядка и инварианты поворота и переноса декартовой прямоугольной системы координат
  2. Виды поверхностей второго порядка и приведение общего уравнения поверхности второго порядка к каноническому
  3. Эллипсоид
  4. Мнимый эллипсоид
  5. Мнимый конус
  6. Однополостный гиперболоид
  7. Двуполостный гиперболоид
  8. Конус
  9. Эллиптический параболоид
  10. Гиперболический параболоид
  11. Эллиптический цилиндр
  12. Мнимый эллиптический цилиндр
  13. Мнимые пересекающиеся плоскости
  14. Гиперболический цилиндр
  15. Пересекающиеся плоскости
  16. Параболический цилиндр
  17. Параллельные плоскости
  18. Мнимые параллельные плоскости
  19. Совпадающие плоскости
  20. Решение примеров на определение вида поверхности второго порядка
  21. Определить вид поверхности второго порядка самостоятельно, а затем посмотреть решение
  22. Реферат: Приведение поверхности второго порядка к каноническому виду путем преобразования систем координа
  23. Приведение кривой второго порядка к каноническому виду
  24. Алгоритм перехода кривой второго порядка к каноническому виду

Общее уравнение поверхности второго порядка и инварианты поворота и переноса декартовой прямоугольной системы координат

Общее уравнение поверхности второго порядка имеет вид

Для определения вида поверхности второго порядка по общему уравнению и приведения общего уравнения к каноническому, нам понадобятся выражения, которые называются инвариантами. Инварианты — это определители и суммы определителей, составленные из коэффициентов общего уравнения, которые не меняются при переносе и повороте системы координат. Эти инварианты следующие:

Приведение уравнения поверхности порядка к каноническому виду

Следующие два выражения, называемые семиинвариантами, являются инвариантами поворота декартовой прямоугольной системы координат:

Приведение уравнения поверхности порядка к каноническому виду

В случае, если I 3 = 0 , K 4 = 0 , семиинвариант K 3 будет также и инвариантом переноса; в случае же I 3 = 0 , K 4 = 0 , I 2 = 0 , K 3 = 0 семиинвариант K 2 = 0 будет также и инвариантом переноса.

Виды поверхностей второго порядка и приведение общего уравнения поверхности второго порядка к каноническому

I. Если I 3 ≠ 0 , то общее уравнение поверхности второго порядка при помощи поворота и переноса прямоугольной системы координат может быть приведено к следующему виду:

Приведение уравнения поверхности порядка к каноническому виду,

где λ 1 , λ 2 , λ 3 — корни характеристического уравнения

Приведение уравнения поверхности порядка к каноническому виду.

В зависимости от того, какие знаки у чисел λ 1 , λ 2 , λ 3 и K 4 /I 3 , определяется вид поверхности второго порядка.

Эллипсоид

Если числа λ 1 λ 2 , λ 3 одного знака, а K 4 /I 3 имеет знак им противоположный, то общее уравнение поверхности второго порядка определяет эллипсоид.

После решения характеристического уравнения общее уравнение можно переписать в следующем виде:

Приведение уравнения поверхности порядка к каноническому виду.

Тогда полуоси эллипсоида будут

Приведение уравнения поверхности порядка к каноническому виду, Приведение уравнения поверхности порядка к каноническому виду, Приведение уравнения поверхности порядка к каноническому виду.

Поэтому каноническое уравнение эллипсоида имеет вид

Приведение уравнения поверхности порядка к каноническому виду.

Приведение уравнения поверхности порядка к каноническому виду

Мнимый эллипсоид

Если числа λ 1 λ 2 , λ 3 и K 4 /I 3 одного знака, то общее уравнение поверхности второго порядка определяет мнимый эллипсоид.

После решения характеристического уравнения общее уравнение можно привести к каноническому уравнению мнимого эллипсоида:

Приведение уравнения поверхности порядка к каноническому виду,

Приведение уравнения поверхности порядка к каноническому виду, Приведение уравнения поверхности порядка к каноническому виду, Приведение уравнения поверхности порядка к каноническому виду.

Мнимый конус

Если числа λ 1 λ 2 , λ 3 , а K 4 = 0 , то общее уравнение поверхности второго порядка определяет мнимый конус.

После решения характеристического уравнения общее уравнение можно привести к каноническому уравнению мнимого конуса:

Приведение уравнения поверхности порядка к каноническому виду,

Приведение уравнения поверхности порядка к каноническому виду, Приведение уравнения поверхности порядка к каноническому виду, Приведение уравнения поверхности порядка к каноническому виду.

Однополостный гиперболоид

Если два корня характеристического уравнения имеют один знак, а третий корень и K 4 /I 3 имеют знак, им противоположный, то общее уравнение поверхности второго порядка определяет однополостный гиперболоид.

Обозначая в этом случае через λ 1 и λ 2 корни характеристического уравнения, имеющие один знак, общее уравнение можно переписать в виде:

Приведение уравнения поверхности порядка к каноническому виду.

Приведение уравнения поверхности порядка к каноническому виду, Приведение уравнения поверхности порядка к каноническому виду, Приведение уравнения поверхности порядка к каноническому виду,

то каноническое уравнение однополостного гиперболоида будет иметь вид

Приведение уравнения поверхности порядка к каноническому виду.

Приведение уравнения поверхности порядка к каноническому виду

Двуполостный гиперболоид

Если два корня характеристического уравнения и K 4 /I 3 имеют один и тот же знак, а третий корень характеристического уравнения им противоположный, то общее уравнение поверхности второго порядка определяет двуполостный гиперболоид.

Обозначая в этом случае через λ 1 и λ 2 корни, имеющие один знак, общее уравнение можно переписать в виде:

Приведение уравнения поверхности порядка к каноническому виду

Приведение уравнения поверхности порядка к каноническому виду.

Последняя запись и есть каноническое уравнение двуполостного гиперболоида.

Приведение уравнения поверхности порядка к каноническому виду

Конус

Если два корня характеристического уравнения имеют один знак, третий корень имеет знак, им противоположный, а K 4 = 0 , то общее уравнение поверхности второго порядка определяет конус.

Считая, что одинаковый знак имеют корни λ 1 и λ 2 , общее уравнение можно переписать в виде:

Приведение уравнения поверхности порядка к каноническому виду

Приведение уравнения поверхности порядка к каноническому виду,

известном как каноническое уравнение конуса.

Приведение уравнения поверхности порядка к каноническому виду

II. Если I 3 = 0 , а K 4 ≠ 0 , то общее уравнение поверхности второго порядка при помощи поворота и переноса прямоугольной системы координат может быть приведено к следующему виду:

Приведение уравнения поверхности порядка к каноническому виду,

где λ 1 и λ 2 — отличные от нуля корни характеристического уравнения.

Эллиптический параболоид

Если λ 1 и λ 2 имеют один знак, то общее уравнение поверхности второго порядка определяет эллиптический параболоид.

Общее уравнение можно переписать в виде:

Приведение уравнения поверхности порядка к каноническому виду.

Выбирая перед корнем знак, противоположный знаку λ 1 и λ 2 , и полагая

Приведение уравнения поверхности порядка к каноническому виду,

Приведение уравнения поверхности порядка к каноническому виду,

получим каноническое уравнение эллиптического параболоида:

Приведение уравнения поверхности порядка к каноническому виду.

Приведение уравнения поверхности порядка к каноническому виду

Гиперболический параболоид

Если λ 1 и λ 2 имеют разные знаки, то общее уравнение поверхности второго порядка определяет гиперболический параболоид.

Обозначая через λ 1 положительный корень, а через λ 2 — отрицательный и беря перед корнем Приведение уравнения поверхности порядка к каноническому видузнак минус, переписываем уравнение в виде:

Приведение уравнения поверхности порядка к каноническому виду.

Приведение уравнения поверхности порядка к каноническому виду, Приведение уравнения поверхности порядка к каноническому виду,

получим каноническое уравнение гиперболического параболоида:

Приведение уравнения поверхности порядка к каноническому виду.

Приведение уравнения поверхности порядка к каноническому виду

III. Если I 3 = 0 , а K 4 = 0 , I 2 ≠ 0 то общее уравнение поверхности второго порядка при помощи поворота и переноса прямоугольной системы координат может быть приведено к следующему виду:

Приведение уравнения поверхности порядка к каноническому виду,

где λ 1 и λ 2 — отличные от нуля корни характеристического уравнения.

Эллиптический цилиндр

Если λ 1 и λ 2 одного знака, а K 3 /I 2 имеет знак, им противоположный, то общее уравнение поверхности второго порядка определяет эллиптический цилиндр.

Переписываем уравнение, получившееся после решения характеристического уравнения, в виде:

Приведение уравнения поверхности порядка к каноническому виду.

Приведение уравнения поверхности порядка к каноническому виду, Приведение уравнения поверхности порядка к каноническому виду,

получим каноническое уравнение эллиптического цилиндра:

Приведение уравнения поверхности порядка к каноническому виду.

Приведение уравнения поверхности порядка к каноническому виду

Мнимый эллиптический цилиндр

Если λ 1 , λ 2 и K 3 /I 2 одного знака, то общее уравнение поверхности второго порядка определяет мнимый эллиптический цилиндр.

Переписываем уравнение, получившееся после решения характеристического уравнения, в виде:

Приведение уравнения поверхности порядка к каноническому виду

Приведение уравнения поверхности порядка к каноническому виду.

Последняя запись — каноническое уравнение мнимого эллиптического цилиндра.

Мнимые пересекающиеся плоскости

Если λ 1 и λ 2 имеют один знак, а K 3 = 0 , то общее уравнение поверхности второго порядка определяет две мнимые пересекающиеся плоскости.

Переписываем уравнение, получившееся после решения характеристического уравнения, в виде:

Приведение уравнения поверхности порядка к каноническому виду.

Приведение уравнения поверхности порядка к каноническому виду, Приведение уравнения поверхности порядка к каноническому виду,

получим каноническое уравнение мнимых пересекающихся плоскостей:

Приведение уравнения поверхности порядка к каноническому виду.

Гиперболический цилиндр

Если λ 1 и λ 2 имеют разные знаки, а K 3 ≠ 0 , то общее уравнение поверхности второго порядка определяет гиперболический цилиндр.

Переписываем уравнение, получившееся после решения характеристического уравнения, в виде:

Приведение уравнения поверхности порядка к каноническому виду,

Приведение уравнения поверхности порядка к каноническому виду, Приведение уравнения поверхности порядка к каноническому виду.

Таким образом, каноническое уравнение гиперболического цилиндра:

Приведение уравнения поверхности порядка к каноническому виду.

Приведение уравнения поверхности порядка к каноническому виду

Пересекающиеся плоскости

Если λ 1 и λ 2 имеют разные знаки, а K 3 = 0 , то общее уравнение поверхности второго порядка определяет две пересекающиеся плоскости.

Переписываем уравнение, получившееся после решения характеристического уравнения, в виде:

Приведение уравнения поверхности порядка к каноническому виду,

Приведение уравнения поверхности порядка к каноническому виду, Приведение уравнения поверхности порядка к каноническому виду.

Таким образом, пересекающихся плоскостей:

Приведение уравнения поверхности порядка к каноническому виду.

IV. Если I 3 = 0 , K 4 = 0 , I 2 = 0 , K 3 ≠ 0 , то общее уравнение поверхности второго порядка при помощи поворота и переноса прямоугольной системы координат может быть приведено к следующему виду:

Приведение уравнения поверхности порядка к каноническому виду,

где λ 1 = I 1 — отличный от нуля корень характеристического уравнения.

Параболический цилиндр

Уравнение, получившееся после решения характеристического уравнения, можно переписать в виде:

Приведение уравнения поверхности порядка к каноническому виду,

Приведение уравнения поверхности порядка к каноническому виду.

Это уравнение параболического цилиндра, в каноническом виде оно записывается так:

Приведение уравнения поверхности порядка к каноническому виду.

Приведение уравнения поверхности порядка к каноническому виду

V. Если I 3 = 0 , K 4 = 0 , I 2 = 0 , K 3 = 0 , то общее уравнение поверхности второго порядка при помощи поворота и переноса прямоугольной системы координат может быть приведено к следующему виду:

Приведение уравнения поверхности порядка к каноническому виду

Приведение уравнения поверхности порядка к каноническому виду,

Приведение уравнения поверхности порядка к каноническому виду.

Параллельные плоскости

Если K 2 , то общее уравнение поверхности второго порядка определяет две параллельные плоскости.

Приведение уравнения поверхности порядка к каноническому виду,

перепишем его в виде

Приведение уравнения поверхности порядка к каноническому виду.

Мнимые параллельные плоскости

Если K 2 > 0 , то общее уравнение поверхности второго порядка определяет две мнимые параллельные плоскости.

Приведение уравнения поверхности порядка к каноническому виду,

перепишем его в виде

Приведение уравнения поверхности порядка к каноническому виду.

Совпадающие плоскости

Если K 2 = 0 , то общее уравнение поверхности второго порядка определяет две совпадающие плоскости:

Приведение уравнения поверхности порядка к каноническому виду.

Решение примеров на определение вида поверхности второго порядка

Пример 1. Определить вид и составить каноническое уравнение поверхности, заданной относительно прямоугольной системы координат общим уравнением

Решение. Найдём I 3 :

Приведение уравнения поверхности порядка к каноническому виду(как вычислить определитель).

I 1 = 1 + 5 + 1 = 7 ,

Следовательно, данная поверхность — однополостный гиперболоид.

Приведение уравнения поверхности порядка к каноническому виду.

Составляем и решаем характеристическое уравнение:

Приведение уравнения поверхности порядка к каноническому виду;

Приведение уравнения поверхности порядка к каноническому виду.

Приведение уравнения поверхности порядка к каноническому виду

Приведение уравнения поверхности порядка к каноническому виду

Приведение уравнения поверхности порядка к каноническому виду,

Приведение уравнения поверхности порядка к каноническому виду, Приведение уравнения поверхности порядка к каноническому виду, Приведение уравнения поверхности порядка к каноническому виду.

Пример 2. Определить вид и составить каноническое уравнение поверхности, заданной относительно прямоугольной системы координат общим уравнением

Решение. Найдём I 3 :

Приведение уравнения поверхности порядка к каноническому виду.

Приведение уравнения поверхности порядка к каноническому виду.

Следовательно, общее уравнение определяет эллиптический параболоид.

Приведение уравнения поверхности порядка к каноническому виду.

I 1 = 2 + 2 + 3 = 7 .

Решаем характеристическое уравнение:

Приведение уравнения поверхности порядка к каноническому виду.

Приведение уравнения поверхности порядка к каноническому виду.

Приведение уравнения поверхности порядка к каноническому виду

Приведение уравнения поверхности порядка к каноническому виду,

Приведение уравнения поверхности порядка к каноническому виду, Приведение уравнения поверхности порядка к каноническому виду.

Пример 3. Определить вид и составить каноническое уравнение поверхности, заданной относительно прямоугольной системы координат общим уравнением

Приведение уравнения поверхности порядка к каноническому виду,

Приведение уравнения поверхности порядка к каноническому виду,

Приведение уравнения поверхности порядка к каноническому виду,

Приведение уравнения поверхности порядка к каноническому виду

I 1 = 5 + 2 + 5 = 12 .

Так как I 3 = К 4 = 0 , I 2 > 0 , I 1 K 3 , то данное общее уравнение определяет эллиптический цилиндр.

Приведение уравнения поверхности порядка к каноническому виду

Приведение уравнения поверхности порядка к каноническому виду.

Приведение уравнения поверхности порядка к каноническому виду

Приведение уравнения поверхности порядка к каноническому виду.

Определить вид поверхности второго порядка самостоятельно, а затем посмотреть решение

Пример 4. Определить вид и составить каноническое уравнение поверхности, заданной относительно прямоугольной системы координат общим уравнением

Реферат: Приведение поверхности второго порядка к каноническому виду путем преобразования систем координа

ФГОУ ВПО «Чувашский государственный университет имени И.Н.Ульянова»

Кафедра высшей математики

По дисциплине: «Алгебра и геометрия»

На тему: «Приведение поверхностей второго порядка к каноническому виду путём преобразования системы координат»

Выполнил: ст. гр. РТЭ-51-09

Проверил: доцент Поляков Н.Д.

§1. Прямоугольно-декартовая система координат ………………………….4

1.2 Координаты пространственной точки………………………….……..4

1.4 Выражение вектора через его проекции ………………………….…..7

1.5 Углы между осями координат и вектором …………………….……. 7

§2. Преобразование систем координат ……………………………………. 9

Перенос начала координат …………………………………….……….9

2.2 Поворот осей координат ……………………………………………….10

2.3 Общее преобразование …………………………………………………12

§3. Приведение уравнения поверхностей второго порядка

в пространстве к каноническому виду ……………………………………14

3.1 Уравнения поверхности второго порядка в пространстве ……….….14

3.2 Канонический вид уравнения поверхности второго

порядка в пространстве ………………………………………………. 15

3.3 Приведение к каноническому виду ……………………………….…..15

§4. Классификация центральных поверхностей второго порядка….……….19

4.1 Классификация нецентральных поверхностей второго порядка . ….22

§5. Типы поверхностей второго порядка ……………………………………26

5.2 Однополостный гиперболоид ………………………………. ……. 27

5.3 Двуполостный гиперболоид ………………………………….…. …. 26

5.5 Эллиптическим параболоидом ……………………………….………..31

5.6 Гиперболический параболоид …………………………………………33

5.7 Остальные поверхности второго порядка …………………………….34

Предмет аналитической геометрии заключается в исследовании геометрических форм с помощью алгебраического анализа. В различных разделах элементарной математики , алгебра прилагается к решению многих геометрических вопросов.

Числа, определяющие положение геометрической формы, называются её координатами. Способ же, с помощью которого определяется положение геометрической формы, носит название способа или метода координат.

Геометрические формы весьма разнообразны, и при построении в аналитической геометрии, мы должны принять одну из множества форм за первичную, с помощью которой мы будем образовывать все остальные. Проще всего за такую начальную форму принять геометрическую точку. Приняв за начальный элемент точку, мы должны показать, каким образом определяется положение точки в пространстве с помощью чисел , так же важно установить, каким образом геометрические свойства линии отражаются на координатах точек, принадлежащих этой линии.

Геометрическое место точек называется поверхностью. Так же поверхность можно определить как множество точек , координаты которых удовлетворяют определённому виду уравнений.

§1. Прямоугольно-декартовая система координат

Три взаимно перпендикулярные оси Оx, Оy, Оz (рис. 1.1), проходящие через некоторую точку О, образуют прямоугольную систему координат. Точка О называется началом координат, прямые Оx, Оy, Оz – осями координат (Оx – ось абсцисс, Оy – ось ординат, Оz – аппликат), а плоскости xOy, yOz, zOx – координатными плоскостями. Какой – либо отрезок UV принимается за единицу масштаба для всех трех осей.

Приведение уравнения поверхности порядка к каноническому видуОтложив на осях Оx, Оy, Оz в положительном направлении отрезки OA, OB, OC, равные единице масштаба, получаем три вектора Приведение уравнения поверхности порядка к каноническому виду, Приведение уравнения поверхности порядка к каноническому виду, Приведение уравнения поверхности порядка к каноническому виду, которые называются основными векторами и обозначаются соответственно i , j , k .

Положительные направления на осях принято выбирать так, чтобы поворот на 90 , совмещающий положительный луч Оx с лучом Оy (рис. 1.1), казался происходящим против часовой стрелки, если наблюдать его со стороны луча Оz. Такая система координат называется правой. Иногда пользуются и левой системой координат. В ней упомянутый поворот совершается по часовой стрелке.

1.2. Координаты пространственной точки

Положение любой точки М в пространстве можно определить тремя координатами следующим образом. Через точку М проводим плоскости МР, MQ, MR (рис. 1.2) соответственно параллельные плоскостям yOz , zOx , xOy. В пересечении данных плоскостей с осями координат получаем точки P, G, R .

Приведение уравнения поверхности порядка к каноническому виду

Числа x (абсцисса), y (ордината), z (аппликата), измеряющие отрезки ОР, OQ, OR в избранном масштабе, называются координатами точки M в прямоугольной системе координат. Они берутся положительными или отрицательными, смотря по тому, имеют ли векторы Приведение уравнения поверхности порядка к каноническому виду, Приведение уравнения поверхности порядка к каноническому виду, Приведение уравнения поверхности порядка к каноническому видусоответственно те же направления, что и основные векторы i , j , k , или противоположные.

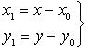
В общем виде положение некоторой точки М в прямоугольной системе координат определяется записью:

где х, у, z – соответственно абсцисса, ордината и аппликата точки М.

Вектор Приведение уравнения поверхности порядка к каноническому виду, идущий от начала координат О к некоторой точке М, называется радиус – вектором точки М и обозначается Приведение уравнения поверхности порядка к каноническому виду, а векторы Приведение уравнения поверхности порядка к каноническому виду, Приведение уравнения поверхности порядка к каноническому виду, Приведение уравнения поверхности порядка к каноническому виду— соответственно проекциями радиус – вектора Приведение уравнения поверхности порядка к каноническому видуна соответствующие оси прямоугольной системы координат. Длина радиуса – вектора Приведение уравнения поверхности порядка к каноническому видучерез координаты некоторой точки М определяется по формуле:

Приведение уравнения поверхности порядка к каноническому виду. (1.2)

1.3 Координаты вектора

Прямоугольными координатами некоторого вектора m называют его алгебраические проекции на оси координат. Координаты вектора обозначаются большими буквами X, Y, Z. Вектор m через его проекции на оси координат записывается по форме:

Вместо того чтобы проектировать вектор m на оси Ox, Oy, Oz можно проектировать на оси M1A, M1B, M1C (рис. 1.3), проведенные через начало M1 вектора m и равнонаправленные с осями координат.

Приведение уравнения поверхности порядка к каноническому виду

Пример 1. Найти координаты вектора m (рис. 1.3) относительно систем координат Oxyz.

Через точку M1 проводим оси M1A, M1B, M1C, соответственно равнонаправленные с осями Ox, Oy, Oz, а через точку М2 — плоскости M2P, M2Q, M2R, параллельные координатным плоскостям. Плоскости M2P, M2Q, M2R пересекут оси M1A, M1B, M1C соответственно в точках P, Q, R. Абсцисса X вектора m есть длина вектора M 1 P , взятая со знаком минус, ордината Y — длина вектора M 1 Q , взятая со знаком минус, аппликата Z — длина вектора M 1 R , взятая со знаком плюс. При выбранном масштабе X=-3, Y=-5, Z=3, то есть m .

1.4 Выражение вектора через его проекции

Из рис. 1.3 видно, что вектор m равен геометрической сумме векторов:

m = Приведение уравнения поверхности порядка к каноническому виду= Приведение уравнения поверхности порядка к каноническому виду+ Приведение уравнения поверхности порядка к каноническому виду+ Приведение уравнения поверхности порядка к каноническому виду. (1.4)

Выразим вектора Приведение уравнения поверхности порядка к каноническому виду, Приведение уравнения поверхности порядка к каноническому виду, Приведение уравнения поверхности порядка к каноническому видучерез основные вектора i , j , k . Тогда формула 1.4 примет следующий вид:.

m = Приведение уравнения поверхности порядка к каноническому виду= X i + Y j + Z k . (1.5)

В примере 1 вектор m через его проекции на оси координат:

m = -3 i + 5 j -3 k .

Длина вектора m вычисляется по формуле:

m = | m | = Приведение уравнения поверхности порядка к каноническому виду. (1.6)

Если известны координаты начальной и конечной точек М1(х1,у1,z1) и М2(х2,у2,z2), то вектор Приведение уравнения поверхности порядка к каноническому видупредставляется формулой:

m = Приведение уравнения поверхности порядка к каноническому виду= (х2-х1) i + (y2-y1) j + (z2-z1) k . (1.7)

1.5 Углы между осями координат и вектором

Углы Приведение уравнения поверхности порядка к каноническому виду, Приведение уравнения поверхности порядка к каноническому виду, Приведение уравнения поверхности порядка к каноническому виду(рис. 1.4), образуемыми положительными направлениями осей Ox, Oy, Oz с вектором m показаны на рис. 1.3

Приведение уравнения поверхности порядка к каноническому видуИз прямоугольного треугольника ORM имеем:

Приведение уравнения поверхности порядка к каноническому виду=Приведение уравнения поверхности порядка к каноническому виду=Приведение уравнения поверхности порядка к каноническому виду. (1.8)

Аналогично получаются формулы:

Приведение уравнения поверхности порядка к каноническому виду=Приведение уравнения поверхности порядка к каноническому виду=Приведение уравнения поверхности порядка к каноническому виду. (1.9)

Приведение уравнения поверхности порядка к каноническому виду=Приведение уравнения поверхности порядка к каноническому виду=Приведение уравнения поверхности порядка к каноническому виду. (1.10)

Если вектор r = Приведение уравнения поверхности порядка к каноническому видуимеет длину, равную единице масштаба, то есть | r |=1, то Приведение уравнения поверхности порядка к каноническому виду=X, Приведение уравнения поверхности порядка к каноническому виду=Y, Приведение уравнения поверхности порядка к каноническому виду=Z.

При условии | r |=1 из формул (1.8), (1.9), (1.10) следует:

Приведение уравнения поверхности порядка к каноническому виду= 1. (1.11)

Пример 2. Найти углы, образуемые осями координат с вектором .

Приведение уравнения поверхности порядка к каноническому виду=Приведение уравнения поверхности порядка к каноническому виду= Приведение уравнения поверхности порядка к каноническому виду=2/3. Приведение уравнения поверхности порядка к каноническому виду=-2/3. Приведение уравнения поверхности порядка к каноническому виду= -1/3.

Откуда, Приведение уравнения поверхности порядка к каноническому видуПриведение уравнения поверхности порядка к каноническому виду48°11′, Приведение уравнения поверхности порядка к каноническому видуПриведение уравнения поверхности порядка к каноническому виду131°50′, Приведение уравнения поверхности порядка к каноническому видуПриведение уравнения поверхности порядка к каноническому виду109°28′,

§2. Преобразование систем координат

2.1. Перенос начала координат

Пусть задана декартова система координат с осями Ox, Oy, Oz. Рассмотрим новую систему координат с началом в точке О’, оси которой O’x’, O’y’, O’z’ соответственно параллельно осям Ox, Oy, Oz и имеют те же направления (рис. 1.5). Масштаб для новой и старой систем координат оставляем одинаковым.

Приведение уравнения поверхности порядка к каноническому виду

Пусть известны координаты точки О’. Тогда точка М в старой системе имеет следующие координаты М<a+x', b+y', c+z'). Отсюда:

где x,y,z и x’,y’,z’ координаты точки М соответственно в старой и новой системах координат. Доказательство этих формул очевидно, так как система осей перемещается параллельно на величину а в направлении Оx, на величину b в направленииOY и на величину c в направлении Oz, то абсциссы всех точек уменьшаются на а , ординаты – на b и аппликаты на с .

2.2 Поворот осей координат

Рассмотрим преобразование декартовых прямоугольных координат при таком изменении координатной системы, когда изменяются направление взаимно перпендикулярных осей координат, а начало координат и масштаб остаются неизменными.

Пусть Ox, Oy, Oz – старые, Ox’, Oy’, Oz’ – новые координатные оси. Будем считать, что нам известны углы, которые образуют каждая ось новой системы с каждой осью старой. Обозначим на данные углы согласно таблице:

Название: Приведение поверхности второго порядка к каноническому виду путем преобразования систем координа
Раздел: Рефераты по математике
Тип: реферат Добавлен 19:47:40 21 июня 2011 Похожие работы
Просмотров: 1613 Комментариев: 18 Оценило: 2 человек Средний балл: 5 Оценка: неизвестно Скачать

Приведение уравнения поверхности порядка к каноническому виду

Приведение уравнения поверхности порядка к каноническому виду

Приведение уравнения поверхности порядка к каноническому виду

Приведение уравнения поверхности порядка к каноническому виду

Приведение уравнения поверхности порядка к каноническому виду

Приведение уравнения поверхности порядка к каноническому виду

Приведение уравнения поверхности порядка к каноническому виду

Приведение уравнения поверхности порядка к каноническому виду

Приведение уравнения поверхности порядка к каноническому виду

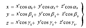
Обозначим через i , j , r и i ‘, j ‘, k ‘ базисные векторы старых и новых осей. Напишем разложение каждого вектора i ‘, j ‘, k ‘ по старому базису:

Приведение уравнения поверхности порядка к каноническому виду(2.2)

Так как каждый из векторов i ‘, j ‘, k ‘ является единичным, то для каждого из них коэффициентами разложения будут служить направляющие косинусы. Таким образом, вся таблица коэффициентов формул (2.2) определяется следующим равенством:

Приведение уравнения поверхности порядка к каноническому виду(2.3)

которое нужно понимать так: Приведение уравнения поверхности порядка к каноническому виду, Приведение уравнения поверхности порядка к каноническому видуи т.д.

Пусть точка М имеет координаты M в старой системе координат и M(x’, y’, z’) в новой системе. Тогда имеет векторное равенство:

x i + y j + z k = x’ i ‘ + y’ j ‘ + z’ k ‘. (2.4)

Поскольку его правая и левая части представляет собой разложение одного и того же вектора OM в старой и новой системах координат, заменяем векторы по формулам (2.2).

Приведение уравнения поверхности порядка к каноническому виду

Приведение уравнения поверхности порядка к каноническому виду(2.5)

Из формул (2.5) следует:

Приведение уравнения поверхности порядка к каноническому виду(2.5)

Заменяем коэффициенты согласно (2.3) и получаем формулы зависимости старых координат от новых:

Приведение уравнения поверхности порядка к каноническому виду(2.6)

Обратную зависимость новых координат от старых получаем, когда поменяем их ролями и одновременно транспортируя таблицы обозначения и формул (2.3), то есть.

Приведение уравнения поверхности порядка к каноническому виду(2.7)

2.3 Общее преобразование

Прежде всего рассмотрим общие свойства коэффициентов, приведенных в формулах (2.7).

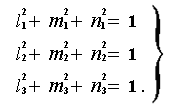
1. Из условия, что векторы являются единичными, следует:

Приведение уравнения поверхности порядка к каноническому виду(2.8)

2. Из условия, что векторы i ‘, j ‘, k ‘ попарно перпендикулярны друг к другу, следует, что их попарно взятые скалярные произведения должны быть равны нулю:

Приведение уравнения поверхности порядка к каноническому виду(2.9)

3. Из условия, что тройки векторов i , j , r и i ‘, j ‘, k ‘ обе правые (или левые), следует, что смешанное произведение i ‘ j ‘ k ‘ положительно и равно объему единичного куба, то есть i ‘ j ‘ k ‘=1. Отсюда:

Приведение уравнения поверхности порядка к каноническому виду(2.10)

4. Из условия, что тройки векторов i , j , r и i ‘, j ‘, k ‘ ориентированы по разному (одна правая, другая левая) следует, что:

Приведение уравнения поверхности порядка к каноническому виду(2.11)

Из условий 3 и 4 следует, что существует два вида преобразований декартовых прямоугольных координат: сохраняющее ориентацию координатного базиса (2.10) и нарушающее ее (2.11).

Из условий 1 и 2 следует, что соотношения (2.8) и (2.9) являются не только необходимыми, но и достаточными условиями того, что формулы (2.5) выражают преобразование прямоугольных координат с неизменным масштабом.

Если начало координат переносится в точку O ‘ одновременно меняется направление осей, то координаты преобразуются по формулам:

Приведение уравнения поверхности порядка к каноническому виду(2.12)

где коэффициенты l1, l2, … , n3 определяется согласно (2.3).

§3. Приведение к каноническому виду уравнения поверхностей второго порядка в пространстве

3.1. Уравнение поверхности второго порядка в пространстве

Поверхность второго порядка — геометрическое место точек, декартовы прямоугольные координаты которых удовлетворяют уравнению вида:

в котором по крайней мере один из коэффициентов a11 , а22 , a33 , a12 , a23 , a13 отличен от нуля. Уравнение (3.1) мы будем называть общим уравнением поверхности второго порядка. Приведение уравнения поверхности порядка к каноническому видуОчевидно, поверхность второго порядка, рассматриваемая как геометрический объект, не меняется, если от данной декартовой прямоугольной системы координат перейти к другой декартовой системе координат. Отметим, что исходное уравнение (3.1) и уравнение, полученное после преобразования координат, алгебраически эквивалентны.Приведение уравнения поверхности порядка к каноническому виду

Справедливо следующее утверждение:

являются инвариантами уравнения (3.1) поверхности второго-порядка относительно преобразований декартовой системы координат.

Коэффициентами уравнения (3.1) являются числа a11, a22, …, a12, …, a44. Причина постановки множителя 2 при некоторых коэффициентах описана тождеством:

Приведение уравнения поверхности порядка к каноническому виду(3.2)

Отсюда видно, что члены левой части с 4 по 10 естественным образом состоят из двух одинаковых экземпляров каждый.

Пусть задана поверхность второго порядка неполным уравнением второго порядка следующего вида:

Уравнение является неполным, так как в левой части отсутствуют члены первой степени. Ввиду этого левая часть не меняется при замене x, y, z на –x, -y, -z. Это означает, что каждая точка поверхности M<x,y,z) имеет свою симметричную точку M. Таким образом, поверхность, описанная формулой (3.3), обладает центром симметрии, совпадающим центром системы координат.

3.2. Канонический вид уравнения поверхности второго порядка в пространстве

Левая часть тождества (3.3) представляет собой однородный многочлен второй степени, который называется квадратичной формой от трех переменных x, y, z. Сущность задачи приведения квадратичной формы к каноническому виду состоит в следующем: необходимо повернут систему координатных осей таким образом, чтобы после приведения формы (3.3) к новым прямоугольным координатам исчезли все члены с произведениями новых текущих координат при соблюдении условий (2.8), (2.9), (2.10), то есть должно выполняться тождество:

Приведение уравнения поверхности порядка к каноническому виду(3.4)

Левая часть тождества называется каноническим видом уравнения поверхности второго порядка в пространстве.

Надо доказать, что каждое уравнение можно привести к каноническому виду. Это означает, нам необходимо найти коэффициенты формулы (2.5).

3.3. Приведение к каноническому виду

Предположим, что коэффициенты формул (2.5) уже найдены и тождество (3.4) достигнуто. Перепишем форму (3.4):

Приведение уравнения поверхности порядка к каноническому виду(3.5)

Каждую из скобок в левой части преобразуем по формулам (2.5):

Приведение уравнения поверхности порядка к каноническому виду(3.6)

Приведение уравнения поверхности порядка к каноническому виду(3.7)

Приведение уравнения поверхности порядка к каноническому виду(3.8)

Произведения текущих координат правой части формулы (3.5) используя формул (2.7) перепишем:

Приведение уравнения поверхности порядка к каноническому виду(3.9)

Подставим формулы с (3.6) по (3.9) в тождество (3.5). В левой и правой частях тождества получаем по девять различных членов. Тождество будет обеспечено, если коэффициенты подобных членов слева и справа окажутся равными:

Приведение уравнения поверхности порядка к каноническому виду(3.10)

Приведение уравнения поверхности порядка к каноническому виду(3.11)

Приведение уравнения поверхности порядка к каноническому виду(3.12)

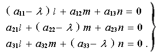
Решение задачи сводится к решению системы тождеств:

Приведение уравнения поверхности порядка к каноническому виду(3.13)

Задача будет завершена, если найдутся три решения Приведение уравнения поверхности порядка к каноническому виду, Приведение уравнения поверхности порядка к каноническому виду, Приведение уравнения поверхности порядка к каноническому видусистемы (3.13) при выполнении условий (2.8), (2.9), (2.10).

Преобразуем систему (3.13) к следующему виду:

Приведение уравнения поверхности порядка к каноническому виду(3.14)

Приведение уравнения поверхности порядка к каноническому виду(3.15)

Уравнение (3.15) называется характеристическим уравнением квадратичной формы (3.3). Уравнение (3.15) есть уравнение третьей степени. Доказано, что оно имеет вещественные корни: Приведение уравнения поверхности порядка к каноническому виду, Приведение уравнения поверхности порядка к каноническому виду, Приведение уравнения поверхности порядка к каноническому виду, которые называются характеристическими числами. Подставляя вещественные корни в систему (3.14) будем иметь ненулевое решение l, m, n., Направление вектора Приведение уравнения поверхности порядка к каноническому видуназывается главным направлением данной квадратичной формы, соответствующим характеристическому числу. Приведение уравнения поверхности порядка к каноническому виду.На практике вектор главного направления приводят к нормированному виду: l1=Приведение уравнения поверхности порядка к каноническому виду, m1=Приведение уравнения поверхности порядка к каноническому виду, n1=Приведение уравнения поверхности порядка к каноническому виду, где:

Приведение уравнения поверхности порядка к каноническому виду

При этом условии Приведение уравнения поверхности порядка к каноническому виду=1.

Каждую квадратичную форму можно привести к каноническому виду при помощи преобразования прямоугольных координат. Чтобы привести данную квадратичную форму к каноническому виду необходимо решить уравнение третьей степени (3.15) и найти характеристические числа Приведение уравнения поверхности порядка к каноническому виду, Приведение уравнения поверхности порядка к каноническому виду, Приведение уравнения поверхности порядка к каноническому виду, которые и будут коэффициентами в канонической виде формы. Координатные оси следует направлять по главным направлениям формы. Если оси абсцисс, ординат и аппликат направления по первому, второму и третьему главным направлениям, то характеристические числа Приведение уравнения поверхности порядка к каноническому виду, Приведение уравнения поверхности порядка к каноническому виду, Приведение уравнения поверхности порядка к каноническому видубудут коэффициентами соответственно при квадрате абсциссы, при квадрате ординаты и при квадрате аппликаты.

§4. Классификация центральных поверхностей второго порядка

Пусть S — центральная поверхность второго порядка. Перенесем начало координат в центр этой поверхности, а затем произведем стандартное упрощение уравнения этой поверхности. В результате указанных операций уравнение поверхности примет вид

a11х2 + а22у2 + a33z2 + а44 = 0 (4.2)

Так как инвариант I3 для центральной поверхности отличен от ноля и его значение, вычисленное для уравнения (4.2) , равно a11 • а22 • a33 , то коэффициенты a11 ,а22 , a33 удовлетворяют условию :

Приведение уравнения поверхности порядка к каноническому видуВозможны следующие случаи :Приведение уравнения поверхности порядка к каноническому виду

1°). Коэффициенты a11 ,а22 , a33 одного знака, а коэффициент а44 отличен от нуля. В этом случае поверхность S называется эллипсоидом.

Если коэффициенты a11 ,а22 , a33 , а44 одного знака, то левая часть (4.2) ни при каких значениях х, у, z не обращается в нуль, т. е. уравнению поверхности S не удовлетворяют координаты никакой точки. В этом случае поверхность S называется мнимым эллипсоидом.

Если знак коэффициентов a11 ,а22 , a33 противоположен знаку коэффициента а44 , то поверхность S называется вещественным эллипсоидом. В дальнейшем термином «эллипсоид» мы будем называть лишь вещественный эллипсоид.

Обычно уравнение эллипсоида записывают в канонической форме. Очевидно, числа

Приведение уравнения поверхности порядка к каноническому виду

положительны. Обозначим эти числа соответственно а2, b2, с2. После несложных преобразований уравнение эллипсоида (4.2) можно записать в следующей форме:

Приведение уравнения поверхности порядка к каноническому виду

Уравнение (4.3) называется каноническим уравнением эллипсоида.

Если эллипсоид задан своим каноническим уравнением (4.3), то оси Ох, Оу и Оz. называются его главными осями.

2°). Из четырех коэффициентов a11 ,а22 , a33 , а44 два одного знака, а два других—противоположного. В этом случае поверхность S называется однополостным гиперболоидом.

Обычно уравнение однополостного гиперболоида записывают в канонической форме. Пусть, ради определенности, a11 > 0, а22 > 0, a33 0, а44 o, а22 > 0, a33 Классификация нецентральных поверхностей второго порядка

Пусть S — нецентральная поверхность второго порядка, т. е. поверхность, для которой инвариант I3 равен нулю. Произведем стандартное упрощение уравнения этой поверхности. В результате уравнение поверхности примет вид

aґ11хґ2 + аґ22уґ2 + a33zґ2 + 2аґ14 xґ + 2аґ24уґ+2аґ34zґ +аґ44 = 0 (4.7)

для системы координат Oxґyґzґ

Так как инвариант I3 = 0 и его значение, вычисленное для уравнения (4.7) , равно

aґ11 • аґ22 • aґ33 , то один или два из коэффициентов aґ11 , аґ22 , aґ33 равны нулю. В соответствии с этим рассмотрим следующие возможные случаи.

1 ° ) . Один из коэффициентов aґ11 , аґ22 , aґ33 равен нулю. Ради определенности будем считать, что aґ33 = 0 (если равен нулю какой-либо другой из указанных коэффициентов, то можно перейти к рассматриваемому

Приведение уравнения поверхности порядка к каноническому виду(4.8)

случаю путем переименования осей координат). Перейдем от координат х’, у’, z’ к новым координатам х, у, z по формулам

Подставляя х’, у’ и z’, найденные из (4.8), в левую часть (4.7) и заменяя затем

aґ11 на a11 , аґ22 на а22 , аґ34 на p и аґ44 на q , получим следующее уравнение поверхности S в новой системе координат Oxyz :

Приведение уравнения поверхности порядка к каноническому видуa11х2 + а22у2 + 2pz + q = 0 (4.9)Приведение уравнения поверхности порядка к каноническому виду

1) Пусть р = 0, q = 0. Поверхность S распадается на пару плоскостей

При этом, очевидно, эти плоскости будут мнимыми, если знаки a11 и а22 одинаковы, и вещественными, если знаки a11 и а22 различны.

2) Пусть р = 0, q ≠ 0. Уравнение (4.9) принимает вид

a11х2 + а22у2 + q = 0 (4.10)

Известно, что уравнение (4.10) является уравнением цилиндра с образующими, параллельными оси Оz. При этом если a11 , а22 , q имеют одинаковый знак, то левая часть (4.10) отлична от нуля для любых х и y, т. е. цилиндр будет мнимым. Если же среди коэффициентов a11 , а22 , q имеются коэффициенты разных знаков, то цилиндр будет вещественным. Отметим, что в случае, когда a11 и а22 имеют одинаковые знаки, a q — противоположный, то величины положительны.

Приведение уравнения поверхности порядка к каноническому виду

Обозначая их соответственно через а2 и b2, мы приведем уравнение (4.10) к виду

Приведение уравнения поверхности порядка к каноническому виду

Таким образом, в отмеченном случае мы имеем эллиптический цилиндр. В случае, a11 и а22 имеют различные знаки, мы получим гиперболический цилиндр. Легко убедиться, что уравнение гиперболического цилиндра может быть приведено к виду

Приведение уравнения поверхности порядка к каноническому виду

3) Пусть р≠0. Произведем параллельный перенос системы координат, выбирая новое начало в точке с координатами

Приведение уравнения поверхности порядка к каноническому виду

При этом оставим старые обозначения координат х, у, z. Очевидно, для того чтобы получить уравнение поверхности S в новой системе координат, достаточно заменить в уравнении (4.9)

Приведение уравнения поверхности порядка к каноническому виду Приведение уравнения поверхности порядка к каноническому виду

Получим следующее уравнение:

a11х2 + а22у2 + 2pz = 0 (4.13)

Уравнение (4.13) определяет так называемые параболоиды. Причем если a11 и а22 имеют одинаковый знак, то параболоид называется эллиптическим. Обычно уравнение эллиптического параболоида записывают в канонической форме:

Приведение уравнения поверхности порядка к каноническому виду

Уравнение (4.14) легко получается из (4.13). Если a11 и а22 имеют разные знаки, то параболоид называется гиперболическим. Каноническое уравнение гиперболического параболоида имеет вид

Приведение уравнения поверхности порядка к каноническому виду

Это уравнение также легко может быть получено из (4.13).

2°) . Два из коэффициентов aґ11 , аґ22 , aґ33 равны нулю. Ради определенности будем считать, что aґ11 = 0 и аґ22 = 0 Перейдем от х,’, у’, z’ к. новым координатам х, у, z по формулам :

Приведение уравнения поверхности порядка к каноническому виду

Подставляя х’, у’ и z’ , найденные из (4.16) в левую часть (4.7) и заменяя затем aґ33 на a33 , aґ14 на р , aґ24 на q и aґ44 на r , получим следующее уравнение поверхности S в новой системе координат Охуz :

a33 z2 + 2px + 2qy + r = 0 (4.17)

Приведение уравнения поверхности порядка к каноническому виду

1) Пусть р=0, q=0. Поверхность S распадается на пару параллельных плоскостей

При этом, очевидно, эти плоскости будут мнимыми, если знаки a33 и r одинаковы, и вещественными, если знаки a33 и r различны, причем при r = 0 эти плоскости сливаются в одну.

2) Хотя бы один из коэффициентов р или q отличен от нуля. В этом случае повернем систему координат вокруг оси Oz так, чтобы новая ось абсцисс стала параллельной плоскости 2рх+2qy+r=0. Легко убедиться, что при таком выборе системы координат, при условии сохранения обозначения х, у и z для новых координат точек, уравнение (4.17) примет вид

a33 z2 + 2qґy = 0 (4.19)

которое является уравнением параболического цилиндра с образующими, параллельными новой оси Ох.

§5. Типы поверхностей второго порядка

В теории поверхностей второго порядка классифицируют и изучают различные виды поверхностей. Методом их изучения является так называемый метод сечения: исследуются сечения поверхности плоскостями, параллельными координатным или самими координатными плоскостями, и по виду сечений делается вывод о форме поверхности.

Существует семнадцать видов поверхностей второго порядка. Идея классификации поверхностей основана на приведении их уравнений к каноническому виду в результате преобразования системы координат в каноническую.

Рассмотрим подробнее шесть основных видов поверхностей второго порядка: эллипсоид, однополостный гиперболоид, двуполостный гиперболоид, конус, эллиптический параболоид и гиперболический параболоид.

Приведение уравнения поверхности порядка к каноническому виду

Эллипсоидом (рис.5.1) называется поверхность второго порядка, которая в канонической системе координат определяется уравнением :

Приведение уравнения поверхности порядка к каноническому виду

В частности, если a = b = c, то получаем сферу x2 + y2 + z2 = a2 с центром в начале координат и радиусом a. Числа a, b, c называются полуосями эллипсоида. Если все они различны, то эллипсоид называется трехосным. Точки пересечения эллипсоида с осями координат: A1(−a; 0; 0), A2(a; 0; 0), B1(0; −b; 0), B2(0; b; 0), C1(0; 0; −c), C2(0; 0; c) называются его вершинами. Оси канонической системы координат являются осями симметрии эллипсоида, начало координат – его центром симметрии, а координатные плоскости – плоскостями симметрии.

Рассмотрим сечение эллипсоида плоскостью xOy: z = 0. Оно задается системой уравнений

Приведение уравнения поверхности порядка к каноническому виду

и представляет собой эллипс с каноническим уравнением

Приведение уравнения поверхности порядка к каноническому виду

Рассматривая аналогично сечения эллипсоида координатными плоскостями xOz: y = 0 и yOz: x = 0, а также плоскостями, им параллельными (x = h1, y = h2, z = h3), получаем кривые второго порядка эллиптического типа. Это – либо эллипс (при h1 a, h2 > b, h3 > c).

5.2 Однополостный гиперболоид

Однополостным гиперболоидом (рис.5.2) называется поверхность второго порядка, которая в канонической системе координат определяется уравнением:

Приведение уравнения поверхности порядка к каноническому виду

Оси канонической системы координат являются осями симметрии однополостного гиперболоида, начало координат – его центром симметрии, а координатные плоскости – плоскостями симметрии. Оси абсцисс и ординат пересекают однополостный гиперболоид в точках A1(−a; 0; 0), A2(a; 0; 0), B1(0; −b; 0), B2(0; b; 0), которые называются его вершинами. Ось аппликат Oz, не имеющая с гиперболоидом общих действительных точек, называется его мнимой осью.

Приведение уравнения поверхности порядка к каноническому видурис.5.2

Если рассмотреть сечения однополостного гиперболоида плоскостью xOy: z = 0 или плоскостями, параллельными ей (z = h3), то в сечении получаются эллипсы. Эллипс Приведение уравнения поверхности порядка к каноническому видуназывается горловым.

Теперь возьмем сечение однополостного гиперболоида плоскостью xOz: y = 0. Оно задается системой уравнений:

Приведение уравнения поверхности порядка к каноническому виду

и представляет собой гиперболу с действительной осью Ox:

Приведение уравнения поверхности порядка к каноническому виду

Рассматривая аналогично сечения гиперболоида плоскостью yOz: x = 0, а также плоскостями, параллельными плоскостям xOz: y = h2 и yOz: x = h1, получаем кривые второго порядка гиперболического типа. Это – либо гипербола (при |h1| ≠ a, | h2| ≠ b), либо пара пересекающихся прямых (при |h1| = a, | h2| = b). Например, сечение однополостного гиперболоида плоскостью x = a задается системой уравнений

Приведение уравнения поверхности порядка к каноническому виду

и представляет собой пару пересекающихся прямых с каноническим уравнением

Приведение уравнения поверхности порядка к каноническому виду

Приведение уравнения поверхности порядка к каноническому видурис.5.3

Двуполостным гиперболоидом (рис.5.3) называется поверхность второго порядка, которая в канонической системе координат определяется уравнением:

Приведение уравнения поверхности порядка к каноническому виду

Ось аппликат Oz канонической системы координат является осью симметрии двуполостного гиперболоида, начало координат – его центром симметрии, а координатные плоскости – плоскостями симметрии. Ось аппликат пересекает гиперболоид в точках C1(0; 0; −c), C2(0; 0; c) которые называются его вершинами. Сама ось аппликат называется действительной осью гиперболоида.

Если рассмотреть сечение двуполостного гиперболоида координатными плоскостями xOz: y = 0 и yOz: x = 0, и плоскостями, им параллельными (x = h1, y = h2), то в сечении получаются гиперболы. Рассматривая аналогично сечения гиперболоида плоскостью xOy: z = 0, а также плоскостями, параллельными плоскости xOy: z = h, получаем кривые второго порядка эллиптического типа. Это – либо эллипс (при |h| > c), либо пара мнимых пересекающихся прямых, т.е. точка (при |h = c |), либо мнимый эллипс (при |h| c сечение двуполостного гиперболоида плоскостью z = h задается системой уравнений

Приведение уравнения поверхности порядка к каноническому виду

откуда при подстановке второго уравнения в первое последовательно получаем:

Приведение уравнения поверхности порядка к каноническому виду

и каноническое уравнение эллипса

Приведение уравнения поверхности порядка к каноническому виду

Приведение уравнения поверхности порядка к каноническому видурис.5.4

Конус второго порядка (рис. 5.4) в канонической системе координат имеет вид

Приведение уравнения поверхности порядка к каноническому виду

Эта поверхность второго порядка состоит из прямых, пересекающихся в одной точке – вершине конуса. Действительно, если точка с координатами (x0; y0; z0) удовлетворяет уравнению конуса, то ему удовлетворяют также точки с координатами: x = x0t , y = y0t , z = z0tпри любом значении параметра t. Записанные уравнения являются параметрическими уравнениями прямой, проходящей через начало координат и точку (x0; y0; z0). Конус состоит из таких прямых, называемых образующими конуса. Ось аппликат канонической системы координат называется его осью. Оказывается, плоскость, проходящая через вершину конуса, либо не пересекает его в другой точке, либо пересекает по двум образующим, либо касается вдоль образующей. Любая плоскость, параллельная этим плоскостям, в первом случае пересекает конус по эллипсу, во втором случае – пересекает по гиперболе, в третьем случае – по параболе. Поэтому эллипс, гиперболу, параболу часто называют коническими сечениями.

Приведение уравнения поверхности порядка к каноническому видурис.5.5

Эллиптическим параболоидом (рис.5.5) называется поверхность второго порядка, которая в канонической системе координат определяется уравнением:

Приведение уравнения поверхности порядка к каноническому виду

Ось аппликат Oz канонической системы координат является единственной осью симметрии эллиптического параболоида, плоскости xOz и yOz − плоскостями симметрии. Ось аппликат, называемая осью эллиптического параболоида, пересекает его в начале координат, эта точка называется вершиной параболоида. Если рассмотреть сечение эллиптического параболоида координатными плоскостями xOz: y = 0 и yOz: x = 0, и плоскостями, им параллельными (x = h1, y = h2), то в сечении получаются параболы. Например, сечение эллиптического параболоида плоскостью y = h2 задается системой уравнений:

Приведение уравнения поверхности порядка к каноническому виду

откуда при подстановке второго уравнения в первое последовательно получаем:

Приведение уравнения поверхности порядка к каноническому виду

и уравнение параболы

Приведение уравнения поверхности порядка к каноническому виду.

Получаемые таким образом параболы лежат в параллельных плоскостях, отличаясь лишь положением в пространстве. Рассматривая аналогично сечения эллиптического параболоида плоскостью xOy: z = 0, а также плоскостями, параллельными плоскости xOy: z = h, получаем кривые второго порядка эллиптического типа. Это – либо эллипс (при h > 0), либо пара мнимых пересекающихся прямых, т.е. точка (при h = 0), либо мнимый эллипс (при h Гиперболический параболоид

Приведение уравнения поверхности порядка к каноническому видурис.5.6

Гиперболическим параболоидом (рис.5.6) называется поверхность второго порядка, которая в канонической системе координат определяется уравнением:

Приведение уравнения поверхности порядка к каноническому виду

Ось аппликат Oz канонической системы координат является единственной осью симметрии гиперболического параболоида, плоскости xOz и yOz − плоскостями симметрии. Ось аппликат, называемая осью гиперболического параболоида, пересекает его в начале координат; эта точка называется вершиной параболоида. Если рассмотреть сечение гиперболического параболоида координатными плоскостями xOz: y = 0 и yOz: x = 0, и плоскостями, им параллельными (x = h1, y = h2), то в сечении получаются параболы. Например, сечение гиперболического параболоида плоскостью x = h1 задается системой уравнений:

Приведение уравнения поверхности порядка к каноническому виду

откуда при подстановке второго уравнения в первое последовательно получаем:

Приведение уравнения поверхности порядка к каноническому виду

и уравнение параболы

Приведение уравнения поверхности порядка к каноническому виду.

Рассматривая аналогично сечения гиперболического параболоида плоскостью xOy: z = 0, а также плоскостями, параллельными плоскости xOy: z = h, получаем кривые второго порядка гиперболического типа. Это либо гипербола (при |h| > 0), либо пара пересекающихся прямых (при h = 0). Таким образом, по форме гиперболический параболоид напоминает седло, эту поверхность часто называют седловой.

Остальные поверхности второго порядка

Приведение уравнения поверхности порядка к каноническому видуПриведение уравнения поверхности порядка к каноническому виду

Остальные одиннадцать видов поверхностей относятся к классам цилиндрических поверхностей (эллиптический, гиперболический и параболический (рис.5.7) цилиндры); пар плоскостей (пересекающихся, параллельных и совпавших) и мнимых поверхностей (мнимый эллипсоид, мнимый конус, мнимый эллиптический цилиндр, пары мнимых пересекающихся и мнимых параллельных плоскостей).

Виды поверхностей и их уравнения приведены в таблице ниже :

Таблица поверхностей второго порядка

Приведение уравнения поверхности порядка к каноническому виду

Приведение уравнения поверхности порядка к каноническому виду

Приведение уравнения поверхности порядка к каноническому виду

Приведение уравнения поверхности порядка к каноническому виду

Приведение уравнения поверхности порядка к каноническому виду

Приведение уравнения поверхности порядка к каноническому виду

Приведение уравнения поверхности порядка к каноническому виду

Приведение уравнения поверхности порядка к каноническому виду

Приведение уравнения поверхности порядка к каноническому виду

Приведение уравнения поверхности порядка к каноническому виду

Мнимый эллиптический цилиндр

Приведение уравнения поверхности порядка к каноническому виду

Пара мнимых пересекающихся плоскостей

Приведение уравнения поверхности порядка к каноническому виду

Пара пересекающихся плоскостей

Приведение уравнения поверхности порядка к каноническому виду

Пара параллельных плоскостей

Пара мнимых параллельных плоскостей

Пара совпавших плоскостей

Пример 1. Привести к каноническому виду уравнение поверхности второго порядка:

Решение. Составим характеристическое уравнение:

Приведение уравнения поверхности порядка к каноническому виду

или Приведение уравнения поверхности порядка к каноническому виду3+ 18Приведение уравнения поверхности порядка к каноническому виду2+99Приведение уравнения поверхности порядка к каноническому виду-162=0 или (Приведение уравнения поверхности порядка к каноническому виду-3)(Приведение уравнения поверхности порядка к каноническому виду-8)(Приведение уравнения поверхности порядка к каноническому виду-9)=0. Корни уравнения: Приведение уравнения поверхности порядка к каноническому виду1=3, Приведение уравнения поверхности порядка к каноническому виду2=6, Приведение уравнения поверхности порядка к каноническому виду3=9. Каноническое уравнение равно: 3x’2+6y’2+9z’2-18=0, или

Приведение уравнения поверхности порядка к каноническому виду(п.1).

Данная поверхность является эллипсоидом с полуосями а=Приведение уравнения поверхности порядка к каноническому виду. b=Приведение уравнения поверхности порядка к каноническому виду, c=Приведение уравнения поверхности порядка к каноническому виду.

Пример 2. Найти расположение поверхности эллипсоида, каноническое уравнение которого соответствует формуле (п.1).

Решение. Для определения главных направлений поверхности составим систему уравнений:

Приведение уравнения поверхности порядка к каноническому виду(п.2)

Для Приведение уравнения поверхности порядка к каноническому виду=Приведение уравнения поверхности порядка к каноническому виду1=3 система уравнений примет вид:

Приведение уравнения поверхности порядка к каноническому виду

В качестве ненулевого решения этой системы можно взять: l=1, m=2, n=2. Нормируя это решение, получим единичный вектор первого главного направления:

Приведение уравнения поверхности порядка к каноническому виду

Точно так же, в системе (п.2) для Приведение уравнения поверхности порядка к каноническому виду=Приведение уравнения поверхности порядка к каноническому виду2=6 и Приведение уравнения поверхности порядка к каноническому виду=Приведение уравнения поверхности порядка к каноническому виду3=9 найдем единичные векторы двух других направлений:

Приведение уравнения поверхности порядка к каноническому виду

Приведение уравнения поверхности порядка к каноническому виду

Данные векторы показывают положение новых осей относительно старых, поэтому расположение поверхности известно. Формулы преобразования координат найдем согласно (2.5):

Приведение уравнения поверхности порядка к каноническому виду

Пример 3. Привести к каноническому виду уравнение поверхности второго порядка:

Приведение уравнения поверхности порядка к каноническому виду

Решение. Составим характеристическое уравнение:

Приведение уравнения поверхности порядка к каноническому виду

или Приведение уравнения поверхности порядка к каноническому виду3-27Приведение уравнения поверхности порядка к каноническому виду+-54=0 или (Приведение уравнения поверхности порядка к каноническому виду+3)(Приведение уравнения поверхности порядка к каноническому виду+3)(Приведение уравнения поверхности порядка к каноническому виду-6)=0. Корни уравнения: Приведение уравнения поверхности порядка к каноническому виду1=-3, Приведение уравнения поверхности порядка к каноническому виду2=-3, Приведение уравнения поверхности порядка к каноническому виду3=6. Каноническое уравнение равно: -3x’2-3y’2+6z’2+6=0, или

Приведение уравнения поверхности порядка к каноническому виду

Данная поверхность является однополостным гиперболоидом вращения с полуосями а=Приведение уравнения поверхности порядка к каноническому виду. b=Приведение уравнения поверхности порядка к каноническому виду, c=1.

Пример 4. Привести к простейшему виду уравнение Приведение уравнения поверхности порядка к каноническому виду

Решение. Соберем члены уравнения, содержащие одну и ту же переменную величину, и получим :

Приведение уравнения поверхности порядка к каноническому виду

Из второй скобки вынесем коэффициент при Приведение уравнения поверхности порядка к каноническому виду, после чего предыдущее уравнение примет вид:

Приведение уравнения поверхности порядка к каноническому виду

В каждой из скобок выделим полный квадрат и получим:

Приведение уравнения поверхности порядка к каноническому виду

Приведение уравнения поверхности порядка к каноническому виду

откуда следует , что

Приведение уравнения поверхности порядка к каноническому виду

Произведем теперь такую замену: положим, что

Приведение уравнения поверхности порядка к каноническому виду

Произведенная замена представляет собой не что иное, как преобразование координат всех точек плоскости параллельным переносом координатных осей без изменения их направления. Сравнение последних соотношений с формулами

Приведение уравнения поверхности порядка к каноническому виду

показывает, что новое начало координат находится в точке Приведение уравнения поверхности порядка к каноническому видуа уравнение A принимает вид:

Приведение уравнения поверхности порядка к каноническому виду

Разделив обе части этого уравнения на Приведение уравнения поверхности порядка к каноническому виду, получим канонический (простейший) вид данного уравнения:

Приведение уравнения поверхности порядка к каноническому виду

Заданное уравнение определяет эллипс с полуосями a=Приведение уравнения поверхности порядка к каноническому виду, b= Приведение уравнения поверхности порядка к каноническому виду, центр которого находится в первоначальной системе координат в точке Приведение уравнения поверхности порядка к каноническому виду. Таким образом, упрощение уравнения этой линии достигнуто параллельным переносом начала координат в ее центр.

Пример 5. Дана поверхность второго порядка

Приведение уравнения поверхности порядка к каноническому виду

Определить вид этой поверхности ,доказать , что она является поверхностью вращения , написать её каноническое уравнение.

Приведение уравнения поверхности порядка к каноническому виду, Приведение уравнения поверхности порядка к каноническому виду.

Поверхность невырожденная центральная. Характеристическое уравнение имеет вид :

Приведение уравнения поверхности порядка к каноническому виду

или Приведение уравнения поверхности порядка к каноническому виду. Так как Приведение уравнения поверхности порядка к каноническому видуи среди корней характеристического уравнения имеются как положительные, так и отрицательные (согласно правилу Декарта один корень положительный и два отрицательных), то поверхность – однополостный гиперболоид.

Для того чтобы поверхность второго порядка была поверхностью вращения , необходимо и достаточно, что бы её характеристическое уравнение имело кратный корень, для чего в свою очередь необходимо и достаточно, чтобы корень характеристического многочлена был в то же время и корнем его производной. Производная характеристического многочлена:

Приведение уравнения поверхности порядка к каноническому виду

Корни производной Приведение уравнения поверхности порядка к каноническому виду. Подвергаем проверке только один корень -3, т.к у характеристического многочлена только один положительный корень. Действительно ,

Приведение уравнения поверхности порядка к каноническому виду,

оказывается корнем характеристического многочлена, поэтому можно положить

Приведение уравнения поверхности порядка к каноническому виду;

по теореме Виета найдем, что Приведение уравнения поверхности порядка к каноническому виду.

Приведённое уравнение поверхности: Приведение уравнения поверхности порядка к каноническому виду.

Каноническое уравнение поверхности :

Приведение уравнения поверхности порядка к каноническому виду

Пример 6. Нарисуйте поверхность Приведение уравнения поверхности порядка к каноническому виду

Решение. Выделим полные квадраты по переменным x , y и z :

Приведение уравнения поверхности порядка к каноническому виду

Приведение уравнения поверхности порядка к каноническому виду

Разделим обе части на 4:

Приведение уравнения поверхности порядка к каноническому виду

Введем новую систему координат с началом в точке Приведение уравнения поверхности порядка к каноническому виду, получающуюся из старой параллельным переносом. По предложению 13.1 получим, что в новой системе поверхность задается уравнением

Приведение уравнения поверхности порядка к каноническому виду

Данное уравнение отличается от канонического уравнения однополостного гиперболоида тем, что поменялись ролями оси ординат ( Приведение уравнения поверхности порядка к каноническому виду) и аппликат ( Приведение уравнения поверхности порядка к каноническому виду). Не переобозначая осей, произведем построение поверхности с помощью сечений. В сечении плоскостью Приведение уравнения поверхности порядка к каноническому видуполучаем эллипс с уравнением

Приведение уравнения поверхности порядка к каноническому виду

Его полуоси равны 1 и 2 и лежат соответственно на осях Приведение уравнения поверхности порядка к каноническому видуи Приведение уравнения поверхности порядка к каноническому виду. В сечении плоскостью Приведение уравнения поверхности порядка к каноническому видуполучаем гиперболу с уравнением

Приведение уравнения поверхности порядка к каноническому виду

Ее мнимая ось лежит на оси Приведение уравнения поверхности порядка к каноническому виду, а действительная ось лежит на оси Приведение уравнения поверхности порядка к каноническому виду, полуоси соответственно равны 2 и 1. В сечении плоскостью Приведение уравнения поверхности порядка к каноническому видуполучаем равностороннюю гиперболу с уравнением

Приведение уравнения поверхности порядка к каноническому виду

Ее мнимая ось лежит на оси Приведение уравнения поверхности порядка к каноническому виду, а действительная ось лежит на оси Приведение уравнения поверхности порядка к каноническому виду, обе полуоси равны 2. Для большей наглядности нарисуем еще два сечения плоскостями параллельными плоскости Приведение уравнения поверхности порядка к каноническому виду. В сечениях получим эллипсы, подобные эллипсу в плоскости Приведение уравнения поверхности порядка к каноническому виду. По рассмотренным сечениям можно представить себе форму гиперболоида и его расположение в пространстве (рис. 5.1). Объемное изображение приведено на рис 5.2

Приведение уравнения поверхности порядка к каноническому виду

Приведение уравнения поверхности порядка к каноническому виду

Пример 7. Какую поверхность определяет уравнение Приведение уравнения поверхности порядка к каноническому виду?

Решение : Установим форму поверхности с помощью метода параллельных сечений. Сначала пересечём поверхность с плоскостью y=0: Приведение уравнения поверхности порядка к каноническому видуполучим Приведение уравнения поверхности порядка к каноническому виду=4z. Это уравнение параболы в плоскости Oxz. Пересечём поверхность плоскостью x=0 : Приведение уравнения поверхности порядка к каноническому видуполучим Приведение уравнения поверхности порядка к каноническому виду.Сечением является парабола . В результате пересечения поверхности плоскостью z=0 : Приведение уравнения поверхности порядка к каноническому видуполучим пару пересекающихся прямых Приведение уравнения поверхности порядка к каноническому виду. Сечения поверхности плоскостями x=h дают параболы : Приведение уравнения поверхности порядка к каноническому видупри h>0 действительная ось гиперболы параллельна оси Ox , а при h Пример 8. Привести уравнение данной поверхности к каноническому виду и определить её тип Приведение уравнения поверхности порядка к каноническому виду

Решение. 1) Применяя метод выделения полных квадратов , приведем уравнение к каноническому виду:

Приведение уравнения поверхности порядка к каноническому виду

2) Выделим полный квадрат в данном уравнении Приведение уравнения поверхности порядка к каноническому видупри переменной z: Приведение уравнения поверхности порядка к каноническому видуили Приведение уравнения поверхности порядка к каноническому виду

Данная поверхность является параболическим цилиндром. При параллельном переносе осей координат по формулам

Приведение уравнения поверхности порядка к каноническому виду

Получим каноническое уравнение поверхности Приведение уравнения поверхности порядка к каноническому виду. Точка

Приведение уравнения поверхности порядка к каноническому видуслужит началом новой системы координат.

3) Перепишем исходное уравнение в виде :

Приведение уравнения поверхности порядка к каноническому виду.

Получим уравнение эллиптического параболоида с вершиной в точке Приведение уравнения поверхности порядка к каноническому виду.

Задание 1 .10 Даны уравнения одной из сторон ромба x-3y+10=0 и одной из его диагоналей x+4y-4=0 , диагонали ромба пересекаются в точке (0;1) . Найти уравнение остальных сторон ромба.

Решение : 1) Найдём координаты вершины А ромба , пересечение стороны x-3y+10=0 и диагонали x+4y-4=0 :

y=2 cследовательно x=-4 –> координаты вершины ромба А(-4;2)

2)Через точку пересечения диагоналей (0;1) , найдём противоположную вершину С(4;0)

3)Найдём уравнение второй диагонали , т.к диагонали в ромбе перпендикулярны следовательно угловые коэффициенты соотносятся как Приведение уравнения поверхности порядка к каноническому виду. Преобразованное уравнение первой диагонали имеет вид

Приведение уравнения поверхности порядка к каноническому виду. Следовательно уравнение второй диагонали будет иметь вид: y=4x+p т.к противоположные стороны в ромбе параллельны , подставим координаты точки пересечения и найдём p.

p=1 , следовательно уравнение второй диагонали имеет вид y=4x+1.

4)Найдём вершину В , пересечения второй диагонали y=4x+1 и стороны

x-3y+10=0 . Для этого прировняем их :

Приведение уравнения поверхности порядка к каноническому виду, следовательно y = Приведение уравнения поверхности порядка к каноническому виду, отсюда получаем координаты вершины В(Приведение уравнения поверхности порядка к каноническому виду)

5)Определим уравнение ВС по формуле прямой проходящей через две точки

Приведение уравнения поверхности порядка к каноническому виду, получим Приведение уравнения поверхности порядка к каноническому виду.

6)Определим уравнение DC : x-3y+b=0 . Поставим координаты точки С и найдём b : b=-4 . Следовательно уравнение DC : x-3y-4=0

7)Определим уравнение AD : Приведение уравнения поверхности порядка к каноническому виду, подставим координаты точки А. Получим Приведение уравнения поверхности порядка к каноническому виду. Следовательно уравнение AD : Приведение уравнения поверхности порядка к каноническому виду

Ответ : AB: x-3y+10=0

AD: Приведение уравнения поверхности порядка к каноническому виду

BC: Приведение уравнения поверхности порядка к каноническому виду

Приведение уравнения поверхности порядка к каноническому виду

Задание 2.10 Даны координаты вершин треугольника АВС. Найти длины медианы, высоты , проведённых из вершины А. Вычислить внутренний угол при вершине В.

Решение : 1)Определим координаты точки М отрезка АМ(медиана) , получаем М Приведение уравнения поверхности порядка к каноническому видуи определим длину медианы как длину вектора :

Приведение уравнения поверхности порядка к каноническому виду.

2)Что бы найти AH(высота) , определим уравнение прямой CB:

CB: Приведение уравнения поверхности порядка к каноническому виду. Теперь определим расстояние от точки А до найденной прямой по формуле : Приведение уравнения поверхности порядка к каноническому виду. После вычислений получаем Приведение уравнения поверхности порядка к каноническому виду. Следовательно AH=Приведение уравнения поверхности порядка к каноническому виду.

3)Определим BH по теореме Пифагора : BH=Приведение уравнения поверхности порядка к каноническому виду

Тогда Приведение уравнения поверхности порядка к каноническому виду, отсюда следует что угол при вершине B приблизительно равен Приведение уравнения поверхности порядка к каноническому виду.

Ответ : Медиана = Приведение уравнения поверхности порядка к каноническому виду

Высота = Приведение уравнения поверхности порядка к каноническому виду

Угол при вершине B Приведение уравнения поверхности порядка к каноническому видуПриведение уравнения поверхности порядка к каноническому виду

Приведение уравнения поверхности порядка к каноническому виду

Задание 4.10 Найти точки пересечения кривой второго порядка Приведение уравнения поверхности порядка к каноническому видус прямой а.

Приведение уравнения поверхности порядка к каноническому видуПриведение уравнения поверхности порядка к каноническому виду

а : Приведение уравнения поверхности порядка к каноническому виду

Решение : 1)Составим и решим систему уравнений :

Приведение уравнения поверхности порядка к каноническому виду

Приведение уравнения поверхности порядка к каноническому виду

Ответ : точек пересечения кривой второго порядка Приведение уравнения поверхности порядка к каноническому видус прямой а не существует.

Приведение уравнения поверхности порядка к каноническому виду

Задание 7.10 Для векторов Приведение уравнения поверхности порядка к каноническому виду, заданных в ортонормированном базисе Приведение уравнения поверхности порядка к каноническому видунайдите :

1) Направляющие косинусы вектора Приведение уравнения поверхности порядка к каноническому виду;

2) Площадь параллелограмма , построенного на векторах Приведение уравнения поверхности порядка к каноническому видуи Приведение уравнения поверхности порядка к каноническому виду, имеющих общее начало;

3)Объем пирамиды, построенной на векторах Приведение уравнения поверхности порядка к каноническому виду, Приведение уравнения поверхности порядка к каноническому видуи Приведение уравнения поверхности порядка к каноническому виду, имеющих общее начало.

Приведение уравнения поверхности порядка к каноническому виду(2;1;0) , Приведение уравнения поверхности порядка к каноническому виду(4;3;-3), Приведение уравнения поверхности порядка к каноническому виду(-6;5;7)

Решение : 1)Приведение уравнения поверхности порядка к каноническому виду

Приведение уравнения поверхности порядка к каноническому виду

Приведение уравнения поверхности порядка к каноническому виду

2)Приведение уравнения поверхности порядка к каноническому виду

Приведение уравнения поверхности порядка к каноническому виду

3) Приведение уравнения поверхности порядка к каноническому виду

Приведение уравнения поверхности порядка к каноническому виду

Приведение уравнения поверхности порядка к каноническому виду

Ответ : Приведение уравнения поверхности порядка к каноническому видуПриведение уравнения поверхности порядка к каноническому виду

Приведение уравнения поверхности порядка к каноническому видуПриведение уравнения поверхности порядка к каноническому виду

Приведение уравнения поверхности порядка к каноническому виду

Приведение уравнения поверхности порядка к каноническому виду= Приведение уравнения поверхности порядка к каноническому виду

Приведение уравнения поверхности порядка к каноническому виду= Приведение уравнения поверхности порядка к каноническому виду

Задание 12.10 Найти точки пересечения поверхности и прямой

Приведение уравнения поверхности порядка к каноническому видуПриведение уравнения поверхности порядка к каноническому виду

Решение : 1) Найдём точку пересечения двух прямых:

Приведение уравнения поверхности порядка к каноническому виду, отсюда следует x=2+z

2)Подставим полученные значения x и y в уравнение поверхности второго порядка , что бы найти точки их пересечения.

Приведение уравнения поверхности порядка к каноническому виду, после решения данного уравнения поулчаем точку пересечения двух прямых и поверхности второго порядка .

Ответ : Поверхность пересекается с прямой в точке (4;-3;2)

1. Александров П.С. Лекции по аналитической геометрии / П.С. Александров. – М.: Наука, 1968.

2. Атанасян Л.С. Геометрия / Л.С. Атанасян. – М.: Просвещение, 1973. Ч.1.

3. Атанасян Л.С. Геометрия / Л.С. Атанасян. – М.: Просвещение, 1987. Ч.2.

4. Базылев В.Т. Геометрия /В.Т. Базылев, К.И. Дуничев, В.П. Иваницкая. – Ь.,1974. Ч.1.

5. Ефимов Н.В. Квадратичные формы и матрицы / Н.В. Ефимов. – М.: Наука, 1967.

6. Парнасский И.В. Многомерные пространства. Квадратичные формы и квадратики / И.В. Парнасский, О.Е. Парнасская. – М.: Просвещение, 1978.

7. Погорелов А.В. Аналитическая геометрия /А.В. Погорелов. – М.: Наука, 1968.

Министерство образования и науки Российской федерации

Федеральное государственное образовательное учреждение высшего профессионального образования

«Чувашский государственный университет им. И.Н. Ульянова»

Кафедра высшей математики

«Приведение поверхности второго порядка к каноническому виду путем преобразования систем координат »

Выполнил: студент I курса

Проверил: кандидат физико-

математических наук, старший преподаватель

Глава I. Прямоугольно — декартовая система координат………………..…. 4

§1. Общая декартова и декартова прямоугольная системы координат на плоскости…………………………………………………………………………..4 §2. Общая декартова и декартова прямоугольная системы координат в пространстве………………………………………………………………………5

Глава II. Преобразование систем координат …..…………………………..…..9

§2. Изменение координатных векторов………………………………………. 10

Глава III. Приведение к каноническому виду уравнения поверхностей второго порядка в пространстве………………………………………………..15

Глава IV. Типы поверхностей второго порядка………………………………21

Список использованной литературы…………………………………………. 25

В данной курсовой работе рассмотрена тема “Приведение поверхности второго порядка к каноническому виду путем преобразования систем координат”. Работа состоит из теоретической и практической частей.

В теоретической части курсовой работы представлены четыре главы. В первой главе описана прямоугольно- декартовая система координат.

Следующая глава раскрывает способы преобразования систем координат.

В третьей главе рассмотрено приведение к каноническому виду уравнения поверхностей второго порядка в пространстве. А в четвёртой — приведены типы поверхностей второго порядка.

Практическая часть курсовой работы содержит 10 задач: 5 задач по типовому расчёту и 5 по теории.

Глава I. Прямоугольно — декартовая система координат.

§1. Общая декартова и декартова прямоугольная системы координат на плоскости

Общей декартовой (или аффинной) системой координат на плоскости называется упорядоченная совокупность двух пересекаю­щихся осей координат с общим началом координат О на каждой из них (рис. 1.1).

Масштабные отрезки этих осей могут быть различны. Первая ось называется осью Ох, или осью абсцисс, вторая—осью Оу, или осью ординат.

Пусть М—произвольная точка плоскости. Пусть Р— проекция точки М на ось Ох параллельно оси Оу, а x — координата точки Р на оси Ox; Q — проекция точки М на ось Оу параллельно оси Ох, а у —координата точки Q на оси Оу. Числа х, у называются общими де­картовыми (или аффинными) коорди­натами точки М. Первая координата х называется абсциссой точки М, вторая координата у называется ор­динатой точки М. Точка М с ко­ординатами х, у обозначается М (х, у). Абсцисса точки М равна нулю тогда и только тогда, когда точка М лежит на оси Оу; ордината, у точки М равна нулю тогда и толь­ко тогда, когда точка М лежит на оси Ох. Для начала координат О (и только для этой точки) обе координаты х и у равны нулю. Точки E1(1, 0) и Е2(0, 1) назы­ваются единичными точками осей координат; точка Е(1, 1) назы­вается единичной точкой системы координат, параллелограмм OE1EE2— масштабным параллелограммом.

Отрезки ОЕ1 и ОЕ2 являются масштабными отрезками соответст­венно осей Ох и Оу. Векторы

Приведение уравнения поверхности порядка к каноническому видуи Приведение уравнения поверхности порядка к каноническому виду

называются масштабными векторами соответственно осей Ох и Оу.

Общую декартову систему координат на плоскости можно задать упорядоченной парой пересекающихся прямых и единичной точкой Е, не лежащей ни на одной из них.

В самом деле, пусть О — точка, в которой пересекаются эти прямые, Е1 — про-екция точки E на первую из данных прямых параллельно второй, а E2— проекция точки E на вторую прямую параллельно первой. Тогда положительные направления прямых

определяются направлениями векторов Приведение уравнения поверхности порядка к каноническому видуи Приведение уравнения поверхности порядка к каноническому виду, отрезки ОЕ1 и 0Е2 — масштабные отрезки соответственно для первой и второй осей координат.

При помощи общей декартовой системы координат на плоскости устанавливается взаимно однозначное соответствие между множе­ством всех точек плоскости и множеством всех упорядоченных пар действительных чисел, так как:

каждой точке M плоскости соответствует одна определенная упорядоченная пара действительных чисел x, у— координат этой точки;

каждая упорядоченная пара х, у действительных чисел ста­вится в соответствие одной и только одной точке М, для которой первое число х —абсцисса, а второе число — у ордината.

Для построения этой точки М в случае Приведение уравнения поверхности порядка к каноническому виду, Приведение уравнения поверхности порядка к каноническому видунадо по­строить на оси Ox точку Р с координатой х, а на оси Оу —точку Q с координатой у. Точка М является точкой пересечения прямых, проходящих через точки Р и Q, параллельных

соответственно осям Оу и Ох. Если у = 0 или х = 0, то дело сводится к построению точки на оси Ох на оси Оу.

Декартовой прямоугольной система координат на плоскости называется упоря­доченная совокупность двух взаимно перпендикулярных осей координат с равными масштабными отрезками ОЕ1=ОЕ2 и с общим началом координат О на каждой оси (рис. 1.2)

Определение декартовых прямоугольных координат точки формулируется аналогично соответствующему определению общих декартовых координат точки: пусть Р и Q—ор­тогональные проекции точки М соответственно на оси Ох и Оу, х—координата точки Р на оси Ох, а у — координата точки Q на оси Оу. Числа х, у называются декартовыми прямоугольными ко­ординатами точки М.

Отметим, что часто масштабные векторы осей Ох и Оу в декар­товой прямоугольной системе координат обозначают так:

Приведение уравнения поверхности порядка к каноническому виду Приведение уравнения поверхности порядка к каноническому видуи Приведение уравнения поверхности порядка к каноническому виду

Приведение уравнения поверхности порядка к каноническому виду

Рис. 1.1. Декартовая система координат Рис. 1.2. Оси координат

§2. Общая декартова и декартова прямоугольная системы координат в пространстве

Общей декартовой ( или аффинной ) системой координат в про­странстве называется упорядоченная совокупность трех осей коор­динат, не лежащих в одной плоскости и проходящих через одну точку О, являющуюся началом координат на каждой оси. Масштаб­ные отрезки осей координат, вообще говоря, различны (рис. 1.3). Точка О называется началом координат. Первая ось называется осью Ох, или осью абсцисс, вторая—осью Оу, или осью ординат, третья—осью Oz, или осью аппликат. Плоскость, проходящая через две оси из трех Ох, Оу, Oz, называется координатной плоскостью; координатных плоскостей три; они обозначаются так:

Пусть М — произвольная точка пространства. Обозначим через Р проекцию точки М на ось Ох параллельно плоскости yOz, a через х — координату точки Р на оси Ох. Через Q обозначим про­екцию точки М на ось Оу параллельно плоскости zOx, а через у — координату точки Q на оси Оу. Через R обозначим проекцию точки М на ось Oz параллельно плоскости хОу, а через z— коор­динату точки R на оси Oz (рис. 1.4). Три числа х, у, z, взятые в этом порядке, называются общими декартовыми координатами точки М. Первая координата х называется абсциссой точки М, вторая у—ординатой точки М, третья z—аппликатой точки М. Точка М с координатами х, у, z обозначается М (х, у, z).

Абсцисса точки М равна нулю тогда и только тогда, когда точка М лежит на координатной плоскости yOz. Ордината точки М равна нулю тогда и только тогда, когда точка М лежит на коор­динатной плоскости zOx. Аппликата точки М равна нулю тогда и только тогда, когда точка М лежит на координатной плоскости хОу.

Отсюда следует, что точка М (х, у, z) лежит на оси Ох тогда и только тогда, когда у = z = 0; на оси Оу тогда и только тогда, когда z = х = 0 и на оси Oz тогда и только тогда, когда х = y = 0. Для начала координат (и только для этой точки) все три коорди­наты равны нулю.

Точки Е1(1, 0, 0), E2(0, 1, 0), E3(0, 0, 1) называются единич­ными точками осей координат. Точка E(1, 1, 1) называется еди­ничной точкой системы координат. Параллелепипед с вершиной в начале координат О и с ребрами OE1 ОЕ2, ОЕ3 называется масш­табным параллелепипедом. Отрезки OE1 ОЕ2, ОЕ3 являются масштабными отрезками соответственно осей Ox, Oy, Oz. Векторы

Приведение уравнения поверхности порядка к каноническому виду, Приведение уравнения поверхности порядка к каноническому виду, Приведение уравнения поверхности порядка к каноническому виду

называются масштабными векторами соответственно осей Ox, Oy, Oz.

Общая декартова система координат в пространстве может быть задана упорядоченной тройкой прямых, не лежащих в одной плос­кости, и проходящих через одну точку, и единичной точкой Е (не лежащей в одной плоскости ни с какой парой из заданных прямых). В самом деле, проектируя единичную точку Е на каждую из за­данных прямых параллельно плоскости, содержащей две другие прямые, мы построим единичные точки El E2, Е3; этим самым будут определены и масштабные отрезки, и положительные направ­ления на данных прямых.

При помощи общей декартовой системы координат устанавли­вается взаимно однозначное соответствие между множеством всех точек пространства и множеством всех упорядоченных троек дей­ствительных чисел. Здесь для построения точки М, имеющей коор­динатами заданные числа х, у, z, поступают так: если Приведение уравнения поверхности порядка к каноническому виду,Приведение уравнения поверхности порядка к каноническому виду, Приведение уравнения поверхности порядка к каноническому виду, то строят на осях Ox, Oy, Oz точки Р, Q, R, имеющие на этих осях координаты, соответственно равные х, у, z, и проводят через точки Р, Q, R плоскости, соответственно параллельные координатным плоскостям yOz, zOx, хОу; точка М есть точка пере­сечения этих плоскостей. Если одна из координат х, у, z равна нулю, например z = 0, то точка М лежит в координатной плоскости

хОу и имеет в этой плоскости относитель­на на общей декартовой системы координат; заданной осями Ох и Оу, координаты х и у; построение точки М для этого случая указано выше. Аналогично строится точка М, если у = 0 (в этом случае она лежит в плоскости zOx) и если х=0 (в этом случае точка М лежит на плоскости yOz).

Декартовой прямоугольной системой координат в пространстве называется упорядоченная тройка попарно перпендикулярных осей координат с общим началом координат О на каждой из них с одним и тем же масштабным отрезком для каждой оси (рис. 1.5).

Определение декартовых прямоугольных координат точки форму­лируется аналогично соответствующему определению общих декартовых координат точки, а именно: пусть Р, Q, R — ортогональные проекции точки М на оси Ох, Оу, Оz (рис. 1.6); х — координата точки Р на оси Ох, у—координата точки Q на оси Оу, a z— координата точки R на оси Оz.. Три числа х, у, г называются декартовыми пря­моугольными координатами точ­ки М.

Отметим, что часто масштабные векторы осей Ох, Оу, Оz в де­картовой прямоугольной системе координат обозначаются

Приведение уравнения поверхности порядка к каноническому виду, Приведение уравнения поверхности порядка к каноническому виду, Приведение уравнения поверхности порядка к каноническому виду

Приведение уравнения поверхности порядка к каноническому видуПриведение уравнения поверхности порядка к каноническому виду

Рис. 1.3. Масштабные отрезки Рис. 1.4. Проекции точки М

Приведение уравнения поверхности порядка к каноническому виду

Приведение уравнения поверхности порядка к каноническому виду

Рис. 1.5. Декартовая система Рис. 1.6. Ортогональные проекции

координат в пространстве точки М

Глава II. Преобразование систем координат.

Координаты одной и той же точки или вектора по отношению к различным системам координат, вообще говоря, различны. Очень важно уметь вычислять координаты точки или вектора относи­тельно одной системы по координатам той же точки или вектора относительно другой.

Приступая к решению этого вопроса, мы будем считать изве­стным взаимное расположение основных элементов двух рассмат­риваемых систем координат. Под основными элементами данной системы декартовых координат мы подразумеваем начало этой системы и координатные векторы. Этими элементами определяют­ся, конечно, и оси координат. Когда речь идет о координатах вектора (а не точки), то положения начал, конечно, безразличны.

§1. Перенесение начала.

Начнем с рассмотрения того про­стого случая, когда новая система отличается от старой только положением начала, так что координатные векторы (и следовательно, направления осей) в обеих системах одни и те же. Оси старой системы обозначим через Ox, Oy, Oz, а оси новой — через О’х’, О’у’, O’z’ (рис. 2.1. а). Координатные векторы в обеих системах обозначим через Приведение уравнения поверхности порядка к каноническому виду. Положение новой системы относительно старой, очевидно, вполне определяется координатами нового начала О’ относительно старой системы. Пусть а, b, с обозначают эти координаты.

Если Приведение уравнения поверхности порядка к каноническому виду— некоторый вектор, то, очевидно, его координаты относительно обеих систем одни и те же. Рассмотрим зависимость между старыми и новыми координа­тами какой-либо точки М. Пусть х, у, z обозначают коорди­наты М в старой системе, а х’, у’, z’ — в новой. Очевидно, имеем (см. рис. 2.1. а)

Приведение уравнения поверхности порядка к каноническому виду. (2.1)

Но, по самому определению координат точки,

Приведение уравнения поверхности порядка к каноническому виду, Приведение уравнения поверхности порядка к каноническому виду,

Приведение уравнения поверхности порядка к каноническому виду.

Внося эти выражения в предыдущую формулу, получим

Приведение уравнения поверхности порядка к каноническому виду,

откуда следует, что

х = а+х’, у=b + у’, z = c + z’. (2.2)

Формулы (2.2) дают возможность вычислить старые координаты, когда даны новые, и обратно. Для случая координат на плоскости будем иметь аналогично:

х = а + х’, у = b + у’; (2.3)

для случая координат на прямой (оси) будем иметь, очевидно,

чПриведение уравнения поверхности порядка к каноническому видуитатель легко проверит эти формулы также непосредственно на чертеже (рис. 2.1. б).

Приведение уравнения поверхности порядка к каноническому видуПриведение уравнения поверхности порядка к каноническому виду

Рис. 2.1. старая и новая системы координат Рис. 2.2. Системы координат

с общим началом

§2. Изменение координатных векторов.

Рассмотрим теперь другой частный случай, когда оси новой системы Ox’y’z’ составляют произвольные углы с осями старой системы Oxyz, начала же их совпадают; координатные векторы Приведение уравнения поверхности порядка к каноническому видуновой системы могут отличаться от старых Приведение уравнения поверхности порядка к каноническому видуне только по направлению, но и по величине (рис. 2.2). Мы будем считать заданными координаты векторов Приведение уравнения поверхности порядка к каноническому видуотносительно старой системы. Пусть эти координаты суть соответственно Приведение уравнения поверхности порядка к каноническому виду, Приведение уравнения поверхности порядка к каноническому виду,Приведение уравнения поверхности порядка к каноническому виду, так что

Приведение уравнения поверхности порядка к каноническому виду(2.5)

Пусть Приведение уравнения поверхности порядка к каноническому виду— некоторый вектор и пусть X, Y, Z и X’, Y’, Z’ — его координаты соответственно относительно старой и новой систем.

Имеем: Приведение уравнения поверхности порядка к каноническому виду.

Внося в правую часть вместо Приведение уравнения поверхности порядка к каноническому видуих выражения (2.5) через Приведение уравнения поверхности порядка к каноническому видуи сравнивая в обеих частях коэффициенты при Приведение уравнения поверхности порядка к каноническому видуполучим

Приведение уравнения поверхности порядка к каноническому виду(2.6)

Таким образом, задача наша решена: старые координаты выражены через новые. Если мы хотим выразить новые координаты через старые, то для этого достаточно решить систему (2.6) относительно Х’, У’, Z’ или же прямо применить предыдущий результат, поменяв ролями старые и новые системы 1).

Из того обстоятельства, что, поменяв ролями старые и новые оси, мы можем выразить X’, Y’, Z’ через X, Y, Z, вытекает, что система (2.6) всегда разрешима относительно X’, У’, Z’, а это значит, что определитель

Приведение уравнения поверхности порядка к каноническому видуили Приведение уравнения поверхности порядка к каноническому виду

отличен от нуля. Последнее вытекает также из того, что если бы предыдущий определитель был равен нулю, то тогда векторы u’, v’, w’ были бы компланарны, а это противоречит условию, принятому раз навсегда относительно координатных векторов.

Совершенно ясно, далее, что координаты любой точки М преобразуются по тем же формулам (2.6), так как координаты точки М суть не что иное, как координаты радиуса- вектора Приведение уравнения поверхности порядка к каноническому видуэтой точки.

Если, следовательно, х, у, z и х’, у’, z’ суть соответственно старые и новые координаты точки М, то

Приведение уравнения поверхности порядка к каноническому виду(2.7)

Точно так же можно выразить новые координаты через старые.

Заметим, что величины Приведение уравнения поверхности порядка к каноническому видув формулах (2.6) или (2.7) суть постоянные величины, зависящие только от взаимного расположения старой и новой систем и от длин координатных векторов, но не зависящие от рассматриваемого вектора Р (или точки М).

Пусть теперь новая система O’x’y’z’ расположена совершенно произвольно относительно старой системы Охуz., Так как коорди­наты вектора вовсе не зависят от положения начала координат, то, очевидно, они будут преобразовываться по тем же форму­лам (2.6) предыдущего параграфа, как если бы новое начало коор­динат О’ совпадало с О.

Для вывода же формул преобразования координат точки введем вспомогательную систему 0’x»y»z» ( рис. 2.3 ), имеющую начало в О’, но координатные векторы которой равны старым.

Обозначая через (х, у, z), (х’, у’,z’) и (х», у»,z») коорди­наты точки М соответственно в старой, новой и вспомогательной системах, будем иметь сперва

х = а + х», y = b + y», z = c + z»,

гПриведение уравнения поверхности порядка к каноническому видуде а, b, с обозначают координаты нового начала О’ относительно старой системы. Далее, по формулам предыдущего параграфа получим (рассматривая вспомога­тельную систему как старую)

подставляя эти значения в преды­дущие формулы, получим оконча­тельно

Приведение уравнения поверхности порядка к каноническому виду(2.8)

В формулах (2.8) все коэффициенты a, b, … ,п3 cуть постоян­ные величины, не зависящие от положения точки М (упомянутые коэффициенты зависят только от взаимного расположения осей старой и новой систем координат и от длин координат векторов).

Для случая координат на плоскости вместо фор­мул (2.8) будем иметь формулы (2.9) выводимые совершенно аналогичным способом.

Приведение уравнения поверхности порядка к каноническому виду

Меняя ролями старые и новые системы, получим совершенно аналогичные формулы:

Приведение уравнения поверхности порядка к каноническому виду(2.10)

для пространства и

Приведение уравнения поверхности порядка к каноническому виду(2.11)

— для плоскости. Эти формулы можно, конечно, получить из (2.8) (соответственно из (2.9)), решая последние относительно х’, у’, z’ (соответственно х’, у’).

Для случая координат на прямой (оси Ох) формулы преобразования координат точки имеют, очевидно, следующий вид:

x = а+1х’, х’ = а’ + 1’х (2.12)

( где Приведение уравнения поверхности порядка к каноническому виду Приведение уравнения поверхности порядка к каноническому виду).

Резюмируя полученные результаты, можно высказать следующее основное предложение:

Декартовы координаты вектора относительно одной системы суть линейные однородные функции декартовых координат того же вектора относительно другой системы. Декартовы координаты точки относительно одной системы суть линейные (вообще неоднородные) функции декартовых координат той же точки относительно другой системы).

Замечание. Если переменные х, у, z выражаются через переменные х’, у’, z’ формулами вида

Приведение уравнения поверхности порядка к каноническому виду(2.13)

то говорят, что х, у, z получаются из х’, у’, z’ линейной однородной подстановкой (преобразованием) с таблицей

Приведение уравнения поверхности порядка к каноническому виду(2.14)

Определитель этой таблицы, т. е. определитель

Приведение уравнения поверхности порядка к каноническому виду= Приведение уравнения поверхности порядка к каноническому виду(2.15)

называется определителем подстановки; величины Приведение уравнения поверхности порядка к каноническому видуПриведение уравнения поверхности порядка к каноническому видусуть коэффициенты подстановки. Если Приведение уравнения поверхности порядка к каноническому виду, то подстановка называется особенной, если же Приведение уравнения поверхности порядка к каноническому виду,то подстановка — неособенная.

Формулы вида (2.8) также определяют линейную под­становку (линейное преобразование), вообще неоднородную2. величины а, b, с, l1, l2, . . ., п3 суть коэффициенты подстановки, Однако определителем подстановки называется тот же опреде­литель Приведение уравнения поверхности порядка к каноническому виду, составленный из коэффициентов 11, … , п3. Подста­новка называется особенной или неособенной в зависимости от случаев Приведение уравнения поверхности порядка к каноническому видуили Приведение уравнения поверхности порядка к каноническому виду. Эти определения, естественно, распро­страняются на случай любого числа переменных.

При указанной терминологии доказанное выше предложение можно высказать еще так: новые координаты точки получаются из старых линейной неособенной подстановкой с постоянными коэффициентами; новые координаты вектора получаются из старых линейной однородной неособенной подстановкой с постоянными коэффициентами. Коэффициенты названы здесь постоянными в том смысле, что они не зависят от рассматриваемого вектора или точки, а только от взаимного положения и длин старых и новых коорди­натных векторов и начал координат.

Легко видеть, что всякую неособенную подстановку вида (2.8) можно рассматривать, как формулы преобразования координат точки при переходе от одной системы декартовых координат к другой. Аналогично относительно подстановки вида (2.13) для координат вектора.

Приведение уравнения поверхности порядка к каноническому виду

Рис. 2.3. Произвольные системы координат

Глава III. Приведение к каноническому виду уравнения поверхностей второго порядка в пространстве.

Пусть в пространстве задана прямоугольная декартова система координат Oxyz . Рассмотрим общее уравнение поверхности второго порядка, коэффициенты в котором обозначены специальным образом

OxOyOz
Ox’

a11x2+a22y2+a33z2+2a12xy+2a13xz+2a23yz+b1x+b2y+b3z+c = 0(3.1)

где aij , bi , c — числа, причем хотя бы одно из чисел aij отлично от нуля.

Выделим квадратичную часть выражения, стоящего в уравнении слева,

f = a11x2+a22y2+a33z2+2a12xy+2a13xz+2a23yz(3.2)

Такое выражение называется квадратичной формой от трех переменных. Составим матрицу

Приведение уравнения поверхности порядка к каноническому виду(3.3)

Эта матрица называется матрицей квадратичной формы f. Она является симметричной, то естьПриведение уравнения поверхности порядка к каноническому виду, или, другими словами, aij = aij . Следует обратить внимание на то, как эта матрица составлена. На диагонали у нее стоят коэффициенты при квадратах переменных, а в остальных местах — половины коэффициентов при произведениях переменных.

Исходная система координат является прямоугольной, поэтому скалярное произведение векторов с координатными Приведение уравнения поверхности порядка к каноническому виду, Приведение уравнения поверхности порядка к каноническому видузадается формулой .

Приведение уравнения поверхности порядка к каноническому виду(3.4)

Сформулируем две теоремы, позволяющие пользоваться приведенным ниже алгоритмом.

Теорема 1. Если матрица A — симметричная, то ее собственные числа являются вещественными числами и существует ортонормированный базис из собственных векторов.

Пусть A — матрица квадратичной формы f. По сформулированной теореме у нее существует ортонормированный базис из собственных векторов. Обозначим их Приведение уравнения поверхности порядка к каноническому виду, и пусть эти векторы имеют координаты

Приведение уравнения поверхности порядка к каноническому виду

Базис Приведение уравнения поверхности порядка к каноническому видуназовем старым, а базис Приведение уравнения поверхности порядка к каноническому виду— новым. Тогда матрица перехода будет иметь вид

Приведение уравнения поверхности порядка к каноническому виду(3.5)

Выберем новую систему координат Приведение уравнения поверхности порядка к каноническому видутак, что начало координат не изменяется, а новые базисные векторы Приведение уравнения поверхности порядка к каноническому видузадают направления новых координатных осей Приведение уравнения поверхности порядка к каноническому виду(рис. 3.1).

Тогда координаты (x, y, z) точки M являются координатами ее радиус-вектора Приведение уравнения поверхности порядка к каноническому видуи, следовательно, при замене базиса меняются по формуле

Приведение уравнения поверхности порядка к каноническому виду

Теорема 2. Пусть собственные векторы Приведение уравнения поверхности порядка к каноническому видуматрицы квадратичной формы f, образующие ортонормированный базис, соответствуют собственным числам . Тогда в системе координат Приведение уравнения поверхности порядка к каноническому видуквадратичная форма Приведение уравнения поверхности порядка к каноническому видупринимает вид

Приведение уравнения поверхности порядка к каноническому виду(3.7)

Если мы из равенства (3.6) выпишем выражение x, y, x через новые переменные Приведение уравнения поверхности порядка к каноническому видуи подставим в уравнение (3.1), то обнаружим, что квадратичная его часть и линейная часть преобразуются независимо друг от друга. В результате уравнение в системе координат Приведение уравнения поверхности порядка к каноническому видуимеет вид

Приведение уравнения поверхности порядка к каноническому виду

Хотя бы одно из чисел Приведение уравнения поверхности порядка к каноническому видуотлично от нуля, иначе матрица A была бы нулевой.

Рассмотрим три случая.

Пусть все собственные числа Приведение уравнения поверхности порядка к каноническому видуотличны от нуля. В уравнении (3.8) выделим полные квадраты

Приведение уравнения поверхности порядка к каноническому виду(3.9)

Выполним параллельный перенос системы координат Приведение уравнения поверхности порядка к каноническому виду, взяв за новое начало системы координат точку Приведение уравнения поверхности порядка к каноническому виду. Тогда в новой системе координат уравнение Приведение уравнения поверхности порядка к каноническому видузапишется в виде

Приведение уравнения поверхности порядка к каноническому виду

Здесь возможны следующие варианты.

Пусть Приведение уравнения поверхности порядка к каноническому виду

Перенесем Приведение уравнения поверхности порядка к каноническому видув правую часть и поделим обе части на Приведение уравнения поверхности порядка к каноническому виду, получим

Приведение уравнения поверхности порядка к каноническому виду

Если числа Приведение уравнения поверхности порядка к каноническому видуотрицательны, то ни одна точка пространства не удовлетворяет этому уравнению. Говорят, что оно определяет мнимый эллипсоид.

Если числа Приведение уравнения поверхности порядка к каноническому видуположительны, то уравнение является каноническим уравнением эллипсоида.

Если одно из чисел Приведение уравнения поверхности порядка к каноническому видуотрицательно, а остальные положительны, то (после переименования осей) получим каноническое уравнение однополостного гиперболоида.

Если одно из чисел Приведение уравнения поверхности порядка к каноническому видуположительно, остальные отрицательны, то (после переименования осей) получим каноническое уравнение двуполостного гиперболоида.

Пусть Приведение уравнения поверхности порядка к каноническому виду.

Если все числа Приведение уравнения поверхности порядка к каноническому видуположительны, то только начало координат удовлетворяет этому уравнению. Поверхность выродилась в точку.

Если одно из чисел Приведение уравнения поверхности порядка к каноническому видуотрицательно, а два положительны, то (после переименования осей) получим каноническое уравнение конуса.

Если же два числа отрицательны или все три отрицательны, то, умножив обе части уравнения на -1, получим случай 2 или случай 1.

Пусть одно из чисел Приведение уравнения поверхности порядка к каноническому видуравно нулю, а два других отличны от нуля. Допустим, что Приведение уравнения поверхности порядка к каноническому виду. Тогда в уравнении (3.8) выделим полные квадраты по переменным Приведение уравнения поверхности порядка к каноническому виду.

Приведение уравнения поверхности порядка к каноническому виду(3.12)

Пусть Приведение уравнения поверхности порядка к каноническому виду. Преобразуем уравнение к виду

Приведение уравнения поверхности порядка к каноническому виду(3.13)

Поделим обе части уравнения на Приведение уравнения поверхности порядка к каноническому видуи выполним параллельный перенос осей координат, взяв за новое начало координат точку Приведение уравнения поверхности порядка к каноническому виду. Получим уравнение

Приведение уравнения поверхности порядка к каноническому виду

Если числа Приведение уравнения поверхности порядка к каноническому видуи Приведение уравнения поверхности порядка к каноническому видуположительны, то это — каноническое уравнение эллиптического параболоида.

Если Приведение уравнения поверхности порядка к каноническому виду, получим каноническое уравнение гиперболического параболоида.

Если числа Приведение уравнения поверхности порядка к каноническому видуи Приведение уравнения поверхности порядка к каноническому видуотрицательны или Приведение уравнения поверхности порядка к каноническому виду, то сменим направление у оси Приведение уравнения поверхности порядка к каноническому видуна противоположное и получим либо случай 1, либо случай 2.

Пусть Приведение уравнения поверхности порядка к каноническому виду

Тогда поверхность является цилиндрической, образующие которой параллельны оси Приведение уравнения поверхности порядка к каноническому виду, а направляющей служит кривая на плоскости Приведение уравнения поверхности порядка к каноническому видуc уравнением

Приведение уравнения поверхности порядка к каноническому виду

Пусть только одно из чисел Приведение уравнения поверхности порядка к каноническому видуотлично от нуля. Допустим, что Приведение уравнения поверхности порядка к каноническому виду.Тогда в уравнении (3.8) выделим полный квадрат по переменной Приведение уравнения поверхности порядка к каноническому виду

Приведение уравнения поверхности порядка к каноническому виду

Пусть хотя бы одно из чисел Приведение уравнения поверхности порядка к каноническому видуотлично от нуля. Тогда на плоскости Приведение уравнения поверхности порядка к каноническому видувозьмем две перпендикулярные прямые Приведение уравнения поверхности порядка к каноническому видуи Приведение уравнения поверхности порядка к каноническому виду. Возьмем новую систему координат, у которой начало будет в точке O, ось Приведение уравнения поверхности порядка к каноническому видунаправлена по оси Приведение уравнения поверхности порядка к каноническому виду, ось Приведение уравнения поверхности порядка к каноническому видунаправлена вдоль второй прямой, а ось Приведение уравнения поверхности порядка к каноническому видунаправлена вдоль первой прямой. Тогда уравнение примет вид

Приведение уравнения поверхности порядка к каноническому виду

Это — уравнение цилиндрической поверхности, образующие которой параллельны оси Приведение уравнения поверхности порядка к каноническому виду, а направляющей служит кривая на плоскости Приведение уравнения поверхности порядка к каноническому видус уравнением

Приведение уравнения поверхности порядка к каноническому виду

Пусть Приведение уравнения поверхности порядка к каноническому виду. Тогда уравнение принимает вид

Приведение уравнения поверхности порядка к каноническому виду

Если число справа положительно, то уравнение определяет две плоскости

Приведение уравнения поверхности порядка к каноническому виду

Если число справа равно нулю, то уравнение определяет одну плоскость

Приведение уравнения поверхности порядка к каноническому виду

Если число справа отрицательно, то ни одна точка пространства уравнению не удовлетворяет.

Итак, получен алгоритм, позволяющий установить, какая поверхность задается уравнением второго порядка и каково ее положение в пространстве.

Приведение уравнения поверхности порядка к каноническому виду

Рис. 3.1. Система координат Приведение уравнения поверхности порядка к каноническому виду

Глава IV. Типы поверхностей второго порядка.

Приведение уравнения поверхности порядка к каноническому виду+Приведение уравнения поверхности порядка к каноническому виду+Приведение уравнения поверхности порядка к каноническому виду= –1

Приведение уравнения поверхности порядка к каноническому виду+Приведение уравнения поверхности порядка к каноническому видуПриведение уравнения поверхности порядка к каноническому виду=1

Приведение уравнения поверхности порядка к каноническому виду

Приведение уравнения поверхности порядка к каноническому виду+Приведение уравнения поверхности порядка к каноническому видуПриведение уравнения поверхности порядка к каноническому виду= –1

Приведение уравнения поверхности порядка к каноническому виду

Приведение уравнения поверхности порядка к каноническому виду+Приведение уравнения поверхности порядка к каноническому виду=2Z

Приведение уравнения поверхности порядка к каноническому видуПриведение уравнения поверхности порядка к каноническому виду

Приведение уравнения поверхности порядка к каноническому видуПриведение уравнения поверхности порядка к каноническому виду=2Z

Приведение уравнения поверхности порядка к каноническому виду

Конус второго порядка

Приведение уравнения поверхности порядка к каноническому виду+Приведение уравнения поверхности порядка к каноническому видуПриведение уравнения поверхности порядка к каноническому виду=0

Приведение уравнения поверхности порядка к каноническому виду

Мнимый конус второго порядка

Приведение уравнения поверхности порядка к каноническому виду+Приведение уравнения поверхности порядка к каноническому виду+Приведение уравнения поверхности порядка к каноническому виду=0

Приведение уравнения поверхности порядка к каноническому виду

Приведение уравнения поверхности порядка к каноническому виду+Приведение уравнения поверхности порядка к каноническому виду=1

Приведение уравнения поверхности порядка к каноническому виду

Приведение уравнения поверхности порядка к каноническому виду+Приведение уравнения поверхности порядка к каноническому виду= –1

Приведение уравнения поверхности порядка к каноническому видуПриведение уравнения поверхности порядка к каноническому виду=Приведение уравнения поверхности порядка к каноническому виду1

Приведение уравнения поверхности порядка к каноническому виду

X2=Приведение уравнения поверхности порядка к каноническому виду2pY

Приведение уравнения поверхности порядка к каноническому виду

Пара пересекающихся плоскостей

Приведение уравнения поверхности порядка к каноническому видуПриведение уравнения поверхности порядка к каноническому виду=0

Приведение уравнения поверхности порядка к каноническому виду

Пара мнимых пересекающихся плоскостей

Приведение уравнения поверхности порядка к каноническому виду+Приведение уравнения поверхности порядка к каноническому виду=0

Приведение уравнения поверхности порядка к каноническому виду

Пара параллельных плоскостей

Приведение уравнения поверхности порядка к каноническому виду

ПоверхностиНазваниеКаноническое уравнениеВид поверхности

Приведение уравнения поверхности порядка к каноническому виду+Приведение уравнения поверхности порядка к каноническому виду+Приведение уравнения поверхности порядка к каноническому виду=1

Приведение уравнения поверхности порядка к каноническому виду

2Мнимый эллипсоидМнимый эллиптический цилиндрПара мнимых параллельных плоскостейX2+a2=0

Пара совпадающих плоскостей

Приведение уравнения поверхности порядка к каноническому виду

Данная курсовая работа раскрывает теорию приведения поверхности второго порядка к каноническому виду путем преобразования систем координат. Ее можно использовать как учебное пособие по приведенной теме. А практическая часть работы, представленная десятью задачами, может служить примером решения типичных задач.

Список использованной литературы

Беклемишев Д.В. Курс аналитической геометрии и линейной алгебры. – М.: Наука, 1980.

Бугров А.С. Никольский С.М. Высшая математика. Элементы линейной алгебры и аналитической геометрии. – М.: Наука, 1980.

Глухое М. М. Алгебра и аналитическая геометрия: Курс лек­ций. – М.: 1986.

Рублев А. Я. Курс линейной алгебры и аналитической гео­метрии. – М.: Высшая школа, 1972.

Моденов П.С. Аналитическая геометрия. – Изд-во МГУ, 1969.

Александров П.С. Лекции по аналитической геометрии. – М.: Наука, 1968.

Мусхешвили Н.И. Курс аналитической геометрии. – С-П, 2002.

Ефимов А.В., Демидова Б.П. Сборник задач по математике для вузов. Линейная алгебра и основы математического анализа. – М.: Наука, 1981.

Данко П.Е., Попов А.Г., Кожевникова Т.Я. Высшая математика в упражнениях и задачах, в двух частях, часть 1, издание четвёртое, исправленное и дополненное. – М.: Высшая школа, 1986.

Цубербиллер О.Н. Задачи и упражнения по аналитической геометрии, издание двадцать девятое, стереотипное. – М.: Наука, 1968.

Привалов И.И. Аналитическая геометрия. – М.: Наук, 1966.

Позняк Э.Г. Аналитическая геометрия. – М.: Наука, 1999.

Наумов В.А. Руководство к решению задач по линейной алгебре и аналитической геометрии. — М.: Наука, 1993.

Клетенник Д.В. Сборник задач по аналитической геометрии. М.: Наука, 1986.

Бахвалов С.Б. Сборник задач по аналитической геометрии. М.: Наука, 1964.

Задача 1. Даны уравнения одной из сторон ромба х-3у + 10 = 0 и одной из его

диагоналей х + 4у — 4 = 0; диагонали ромба пересекаются в точке (0; 1). Найти уравнение остальных сторон ромба.

Приведение уравнения поверхности порядка к каноническому виду Приведение уравнения поверхности порядка к каноническому виду

Приведение уравнения поверхности порядка к каноническому виду

Найдем т. пересечения Приведение уравнения поверхности порядка к каноническому видуи Приведение уравнения поверхности порядка к каноническому виду:Приведение уравнения поверхности порядка к каноническому виду

Приведение уравнения поверхности порядка к каноническому видуПриведение уравнения поверхности порядка к каноническому виду Приведение уравнения поверхности порядка к каноническому виду=> Приведение уравнения поверхности порядка к каноническому видуA(-4;2)

Т.к P – середина отрезка AC, то

Приведение уравнения поверхности порядка к каноническому виду

Приведение уравнения поверхности порядка к каноническому виду=> C(4;0). Через точку C направим прямую, параллельную Приведение уравнения поверхности порядка к каноническому виду(т.е. найдем Приведение уравнения поверхности порядка к каноническому виду). Приведение уравнения поверхности порядка к каноническому виду Приведение уравнения поверхности порядка к каноническому виду=> Приведение уравнения поверхности порядка к каноническому виду Приведение уравнения поверхности порядка к каноническому видуПо свойству ромба: Приведение уравнения поверхности порядка к каноническому виду=> Приведение уравнения поверхности порядка к каноническому виду; Приведение уравнения поверхности порядка к каноническому виду=> Приведение уравнения поверхности порядка к каноническому виду

Приведение уравнения поверхности порядка к каноническому видуПриведение уравнения поверхности порядка к каноническому виду; Приведение уравнения поверхности порядка к каноническому виду; Приведение уравнения поверхности порядка к каноническому виду; Приведение уравнения поверхности порядка к каноническому виду=> Приведение уравнения поверхности порядка к каноническому виду

Приведение уравнения поверхности порядка к каноническому видуПриведение уравнения поверхности порядка к каноническому виду; По формуле прямой, проходящей через две точки, найдем Приведение уравнения поверхности порядка к каноническому виду

Приведение уравнения поверхности порядка к каноническому виду; Приведение уравнения поверхности порядка к каноническому виду

Задача 2. Даны координаты вершин треугольника АВС. Найти длины медианы, высоты, биссектрисы, проведенных из вершины А. Вычислить внутренний угол при вершине В.

1) Приведение уравнения поверхности порядка к каноническому виду=, |Приведение уравнения поверхности порядка к каноническому виду|=13

Приведение уравнения поверхности порядка к каноническому виду= , |Приведение уравнения поверхности порядка к каноническому виду|=5

Приведение уравнения поверхности порядка к каноническому виду= , |Приведение уравнения поверхности порядка к каноническому виду|=Приведение уравнения поверхности порядка к каноническому виду=Приведение уравнения поверхности порядка к каноническому виду

Приведение кривой второго порядка к каноническому виду

Пример №1 . Привести уравнение второго порядка к каноническому виду с помощью поворота и параллельного переноса осей координат. Построить кривую.

Пример №2 . Выполнив последовательно преобразования координат: поворот, а затем параллельный перенос координатных осей, преобразовать к каноническому виду уравнение кривой второго порядка и построить ее в исходной системе координат, а также найти параметры кривой.

Алгоритм перехода кривой второго порядка к каноническому виду

Приведение уравнения поверхности порядка к каноническому виду

Приведение уравнения поверхности порядка к каноническому виду

Приведение уравнения поверхности порядка к каноническому виду

Пример №1 . 4y=-6-sqrt(4x-x 2 )
sqrt(4x-x 2 ) = -(4y+6)
Возведем в квадрат
4x-x 2 = (4y+6) 2
Раскрывая скобки, получаем:
16y 2 +48y + 36 +x 2 -4x = 0

Далее решается калькулятором. Если самостоятельно решать, то получим:
4x-x 2 = (4y+6) 2
-(x 2 — 4x) = 2(y+3/2) 2
-(x 2 — 4x + 4) = (y+3/2) 2
-(x — 2) 2 = (y+3/2) 2
(y+3/2) 2 + (x — 2) 2 = 0

Пример №2 . x=1-2/3 sqrt(y 2 -4y-5)
Здесь надо сначала привести к нормальному виду.
3/2(x-1)=sqrt(y 2 -4y-5)
Возводим в квадрат
9/4(x-1) 2 =y 2 -4y-5
9/4x 2 -9/4*2x+9/4-y 2 +4y+5=0
9/4x 2 -9/2x-y 2 +4y+29/4=0

Далее можно решать как с калькулятором, так и без него:
9/4(x-1) 2 =y 2 -4y-5
9/4(x-1) 2 =y 2 -4y+4-4-5
9/4(x-1) 2 =(y 2 -2)-9
9/4(x-1) 2 -(y 2 -2) = -9
-1/4(x-1) 2 +1/9(y 2 -2) = 1

Поделиться или сохранить к себе: