Методы решения уравнений неравенств доклад

Реферат: Неравенства

1) Основное понятие неравенства

2) Основные свойства числовых неравенств. Неравенства содержащие переменную.

3) Графическое решение неравенств второй степени

4) Системы неравенств. Неравенства и системы неравенств с двумя переменными.

5) Решение рациональных неравенств методом интервалов

6) Решение неравенств, содержащих переменную под знаком модуля

1. Основное понятие неравенства

Неравенство [inequality] — соотношение между числами (или любыми математическими выражениями, способными принимать численное значение), указывающее, какое из них больше или меньше другого. Над этими выражениями можно по определенным правилам производить следующие действия: сложение, вычитание, умножение и деление (причем при умножении или делении Н. на отрицательное число смысл его меняется на противоположный). Одно из основных понятий линейного программированиялинейные неравенства вида

где a 1 . an , b — постоянные и знак * — один из знаков неравенства, напр. ≥, [1]

Алгебраические неравенства подразделяются на неравенства первой, второй, и т. д. степени.

Неравенство Методы решения уравнений неравенств доклад— алгебраическое, второй степени.

Неравенство Методы решения уравнений неравенств доклад— трансцендентное.

2. Основные свойства числовых неравенств . Неравенства содержащие переменную

2) Если a>b b>c a>c;

4) Если a+b>c a> c-b;

5) Если обе части верного неравенства умножить на одно и то же положительное число, то получится верное неравенство;

6) Если обе части верного неравенства умножить на одно и то же число и изменить знак на противоположный, то получится верное неравенство;

7) Множество всех х, при которых имеют смысл выражения f(x) и g(x), называется областью определения неравенства f(x) >g(x);

8) Два неравенства, содержащие одну и ту же переменную, называются равносильными, если они имеют общее множество решений (множество решений этих неравенств совпадают);

9) Если к обеим частям неравенства прибавить(или вычесть) любую функцию J(x). область определения которой содержит область определения неравенств, то получится новое неравенств, равносильное данному;

10) Если обе части неравенства f(x) >g(x) умножить (или разделить) на любую функцию J(x), определенную для всех значений переменной х из области определения данного неравенства, сохраняющую постоянный знак и отличную от нуля, то при J(x)>0 получится неравенство, равносильное данном, а при J(x) g(x). Всякое значение переменной, при котором данное неравенство с одной переменной обращается в верное числовое неравенство, называется решением неравенства с одной переменной. Решить неравенство с переменной — значит найти все его решения или доказать, что их нет.

Два неравенства с одной переменной называются равносильными, если решения этих неравенств совпадают.

1) Графиком квадратичной функции y = ах 2 +bх + с является парабола с ветвями, направленными вверх, если а > 0 , и вниз, если а 0 и выпуклостью вверх, если а 2 + bх + с = 0 имеет два различных корня). То есть, если а 2 +bх + с a>0 D>0 y = ах 2 +bх + с a 0,

Методы решения уравнений неравенств доклад

Парабола имеет вершину на оси 0х (т. е. уравнение ах 2 + х + с = 0 имеет один корень, так называемый двукратный корень) То есть, если d=0, то при a>0 решением неравенства служит вся числовая прямая, а при a 2 + х + с

y = ах 2 +bх + с a>0 D = 0 y = ах 2 +bх + с a 2 +bх + с не пересекает ось Ох и лежит выше этой оси при a>0 и ниже ее при a 2 +bх + с a>0 D 2 +bх + с a 2 -4х Методы решения уравнений неравенств доклад;

3х 2 -4хМетоды решения уравнений неравенств доклад.

1. Пусть f(x) = 3х 2 -4х — 7 тогда найдем такие х при которых f(x) Методы решения уравнений неравенств доклад;

2. Найдем нули функции.

Методы решения уравнений неравенств доклад

f(x) Методы решения уравнений неравенств докладпри х Методы решения уравнений неравенств доклад.

Ответ f(x) Методы решения уравнений неравенств докладпри х Методы решения уравнений неравенств доклад.

Пусть f(x)=х 2 +4х +5 тогда Найдем такие х при которых f(x)>0,

Методы решения уравнений неравенств доклад

Ответ Методы решения уравнений неравенств доклад.

4. Системы неравенств. Неравенства и системы неравенств с двумя переменными

1) Множество решений системы неравенств есть пересечение множеств решений входящих в нее неравенств.

2) Множество решений неравенства f(х;у)>0 можно графически изобразить на координатной плоскости. Обычно линия, заданная уравнением f(х;у)=0 ,разбивает плоскость на 2 части, одна из которых является решением неравенства. Чтобы определить, какая из частей, надо подставить координаты произвольной точки М(х0;у0) , не лежащей на линии f(х;у)=0, в неравенство. Если f(х0;у0) > 0 , то решением неравенства является часть плоскости, содержащая точку М0. если f(х0;у0) 0 , а слева от точки α (х-α) 0 , где α1 , α2 . αn-1 , αn — фиксированные числа, среди которых нет равных, причем такие, что α1 0 методом интервалов поступают следующим образом: на числовую ось наносят числа α1 , α2 . αn-1 , αn ; в промежутке справа от наибольшего из них, т.е. числа αn , ставят знак «плюс», в следующем за ним справа налево интервале ставят знак «минус», затем — знак «плюс», затем знак «минус» и т.д. Тогда множество всех решений неравенства (x-α1 )(x‑α2 ). (x-αn )>0 будет объединение всех промежутков, в которых поставлен знак «плюс», а множество решений неравенства (x-α1 )(x-α2 ). (x‑αn ) 0,

f (5) = Методы решения уравнений неравенств доклад– 1 – 20 = – 10 2 +х-2Методы решения уравнений неравенств доклад

Пусть f(x)=х 2 +х-2 тогда найдем такие х при которых f(x) 3 -4х 2 -4) g(x) и (f(x)) 2 >(g(x)) 2 равносильны.

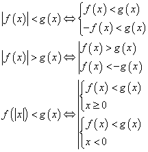
Можно использовать свойства неравенств, содержащих переменную под знаком модуля:

Методы решения уравнений неравенств доклад

Методы решения уравнений неравенств доклад.

Объединяя результаты получим Методы решения уравнений неравенств доклад.

Творческие проекты и работы учащихся

Методы решения уравнений неравенств доклад

В процессе работы над индивидуальным проектом по математике «Нестандартные методы решения уравнений и неравенств» ученицей 10 класса школы была поставлена и реализована цель изучить новые методы решения уравнений и неравенств. Каждый из методов был описан и продемонстрирован отдельно.

Подробнее о проекте:

В готовом творческом и исследовательском проекте по математике «Нестандартные методы решения уравнений и неравенств» учащейся приведены характеристики таких методов решения уравнений, как метод разложения на множители, метод замены переменной, метод решения уравнений с помощью теоремы Виета и метод интервалов, а также продемонстрированы нестандартные методы решения алгебраических уравнений и неравенств, метод рационализации, учёт ОДЗ и метод мажорант.

Оглавление

Введение
1. Теория уравнений и неравенств.
1.1 Основные понятия теории уравнений и неравенств.
1.2 Методы решения уравнений и неравенств.
1.2.1 Метод разложения на множители.
1.2.2 Метод замены переменной.
1.2.3 Метод решения уравнений с помощью теоремы Виета.
1.2.4 Метод интервалов.
2. Нестандартные методы решения алгебраических уравнений и неравенств.
2.1 Метод рационализации.
2.2 Учёт ОДЗ.
2.3 Метод мажорант (оценки).
2.4 Использование свойств функций.
2.4.1 Использование ОДЗ.
2.4.2 Использование монотонности функции.
2.4.3 Использование графиков.
2.5 Некоторые искусственные способы решения алгебраических уравнений.
2.5.1 Угадывание корня уравнения.
3. Разработка интерактивного тренажера «Нестандартные методы решения уравнений и неравенств».
3.1 Анализ и характеристика сетевого сервиса, с помощью которого будет создаваться продукт.
3.2 Создание контента тренажёра.
3.3 Описание созданного продукта.
3.4 Апробация продукта.
Заключение
Список литературы

Введение

Объектом исследования являются уравнения и неравенства.

Предмет исследования: некоторые нестандартные методы решения уравнений и неравенств.

В начале работы над проектом была сформулирована гипотеза: благодаря новым методам решения уравнений и неравенств, удастся сократить количество шагов решения в алгоритме и снизить вероятность допущения ошибки. Исходя из этого вывода, была поставлена цель проекта: изучить новые методы решения уравнений и неравенств.

Продуктом проекта были выбраны дидактические материалы с алгоритмом решения уравнений и неравенств новыми методами и тренажёры для отработки заданий подобного типа. Для продуктивного и удобного использования тренажера необходимо установить критерии оценки продукта проекта:понятный и удобный интерфейс, наличие мобильной версии, возможность использования русского языка, возможность бесплатного использования ресурсов сетевого сервиса при создании и дальнейшем использовании тренажера, тиражируемость (возможность быстрого распространения (с помощью ссылок, QR-кодов и т.п.) и использования).

В процессе создания проекта были сформулированы некоторые задачи:

  1. Изучить всевозможные источники информации по данной теме, структурировать собранную информацию
  2. Провести опрос
  3. Разработать алгоритмы решения уравнений и неравенств определенным (нестандартным) способом
  4. Анализ имеющихся тренажёров, подобрать задания, решаемые нестандартным способом, решить их
  5. Создать тренажёр
  6. Апробировать продукт
  7. Провести опрос об эффективности продукта
  8. Собрать статистику
  9. Распространить продукт

Методы исследования, используемые при работе над проектом: анализ, обобщение, синтез, классификация, систематизация, сравнение, прототипирование.

Научная новизна: разработаны уникальные дидактические материалы

Теоретическая значимость: расширение представления о некоторых методах решения уравнений и неравенств.

Практическая значимость: продукт проекта может быть использован учениками при подготовке к ЕГЭ, а также учителями математики.

Социальная значимость: проект может помочь ученикам 9-11 классов при подготовке к экзамену.

Основные понятия теории уравнений и неравенств

Уравнение – равенство, содержащее в себе переменную, значение которой требуется найти.

Корень (решение) уравнения – это значение переменной, при котором уравнение обращается в верное числовое равенство.

Решить уравнение — найти его корни или доказать, что корней нет.

Неравенство – два числа или математических выражения, соединенных одним из знаков: , ≤, ≥.

Основные свойства уравнений:

  • Любой член уравнения можно перенести из одной части в другую, изменив его знак на противоположный.
  • Обе части уравнения можно умножить или разделить на одно и то же число, не равное нулю.

Решение неравенства – то значение неизвестного, при котором это неравенство обращается в верное числовое неравенство.

Решить неравенство – найти все его решения или установить, что их нет.

Методы решения уравнений и неравенств

Теперь, после перечисления основных понятий, следует вспомнить известные нам из школьной программы способы решения уравнений и неравенств.

Метод разложения на множители

Для разложения на множители используют формулы сокращённого умножения (ФСУ), вынесение общего множителя за скобку, способ группировки, деление многочлена на многочлен.

Суть данного метода в том, чтобы путем равносильных преобразований представить левую часть исходного уравнения, содержащую неизвестную величину в какой-либо степени, в виде произведения двух выражений, содержащих неизвестную величину в меньшей степени. При этом справа от знака равенства должен оказаться ноль.

Метод замены переменной

Цель данного метода в том, чтобы удачным образом заменить сложное выражение, содержащее неизвестную величину, новой переменной, в результате чего уравнение принимает более простой вид. Далее полученное уравнение решается относительно новой переменной, после чего происходит возврат к исходной переменной.

Метод решения уравнений с помощью теоремы Виета

Важно. Не ко всем квадратным уравнениям имеет смысл использовать эту теорему. Применять теорему Виета имеет смысл только к приведённым квадратным уравнениям.

Приведенное квадратное уравнение – это уравнение, в котором старший коэффициент «a = 1». В общем виде приведенное квадратное уравнение выглядит следующим образом: х2 + px + q = 0. разница с обычным общим видом квадратного уравнения ax2 + bx + c = 0 в том, что в приведённом уравнении x2 + px + q = 0 коэффициент а = 1.

Теорема Виета для приведённых квадратных уравнений «x2 + px + q = 0» гласит что справедливо следующее:

x1 · x2 = q, где x1 и x2 — корни этого уравнения.

Нестандартные методы решения алгебраических уравнений и неравенств. Метод рационализации

Приведем алгоритм решения уравнений и неравенств методом рационализации:

  • Нахождение ОДЗ уравнения/неравенства
  • Привести данное неравенство к стандартному виду: слева дробь (или произведение), справа – ноль.
  • Заменить выражения левой части на более простые, эквивалентные им по знаку.
  • Решить полученное неравенство, например, методом интервалов.

Учёт ОДЗ

Иногда знание ОДЗ позволяет доказать, что уравнение (или неравенство) не имеет решений, а иногда позволяет найти решение уравнения (или неравенства) непосредственно подстановкой чисел из ОДЗ.

  • Найти ОДЗ уравнения/неравенства.
  • Подставить значение ОДЗ в исходное уравнение/неравенство, чтобы проверить, является ли оно корнем.

Метод мажорант (оценки)

Метод мажорант также называют методом оценки левой и правой частей, входящих в уравнения и неравенства.

Мажорантой данной функции f(х) на множестве Р, называется такое число М, что либо f(х) ≤ М для всех х ϵ Р, либо f(х) ≥ М для всех х ϵ Р.

Мажоранты многих элементарных функции известны. Их нетрудно указать, зная область значений функции.

  • Определить монотонность и область определения функции (ООФ).
  • Методом подбора найти корень уравнения/неравенства.
  • Исходя из монотонности функции делаем вывод о количестве корней.

Использование графиков

При решении уравнений и неравенств иногда полезно рассмотреть эскиз графиков их правой и левой частей. Тогда этот эскиз графиков поможет выяснить, на какие множества надо разбить числовую ось, чтобы на каждом из них решение уравнения (или неравенства) было очевидно.

Обратим внимание, что эскиз графика лишь помогает найти решение, но писать, что из графика следует ответ, нельзя, ответ ещё надо обосновать.

  • Определить ОДЗ уравнения/неравенства.
  • Представить левую и правую части уравнения/неравенства как функции и построить их графики.
  • По графику определить решение уравнения/неравенства.
  • Доказать справедливость ответа.

Угадывание корня уравнения

Иногда внешний вид уравнения подсказывает, какое число является корнем уравнения.

  • Методом подбора определить корень уравнения.
  • Найти ОДЗ уравнения.
  • Привести многочлен к стандартному виду.
  • Определить остальные корни уравнения.

Разработка интерактивного тренажера «Нестандартные методы решения уравнений и неравенств»

В качестве продукта проекта был выбран интерактивный тренажер, который позволит практиковаться в решении уравнений и неравенств с помощью новых, нестандартных методов решения. Размещение тренажера на сетевой платформе позволит сделать данный продукт доступным для всех, кто хочет разобраться в этой теме.

Анализ и характеристика сетевого сервиса, с помощью которого будет создаваться продукт

При создании продукта были проанализированы следующие сетевые сервисы:

Платформы были проанализированы по критериям:

  • Понятный и удобный интерфейс сайта
  • Возможность составления разнотипных заданий, для создания интересного и разнообразного контента
  • Наличие мобильной версии
  • Возможность использования русского языка
  • Возможность бесплатного использования ресурсов сетевого сервиса при создании и дальнейшем использовании тренажера
  • Доступность (возможность быстрого распространения (с помощью ссылок, QR-кодов и т.п.) и использования)
  • В данной таблице приведены результаты оценки сетевых сервисов по выбранным критериям:

Реферат » Решение уравнений и неравенств графическим способом» ( 9 класс)

Обращаем Ваше внимание, что в соответствии с Федеральным законом N 273-ФЗ «Об образовании в Российской Федерации» в организациях, осуществляющих образовательную деятельность, организовывается обучение и воспитание обучающихся с ОВЗ как совместно с другими обучающимися, так и в отдельных классах или группах.

«Актуальность создания школьных служб примирения/медиации в образовательных организациях»

Свидетельство и скидка на обучение каждому участнику

МБОУ Алтайская СОШ №1

Тема : « Графическое решение уравнений и неравенств»

Учащаяся 9 а класса

МБОУ Алтайская СОШ №1

Бабаева Галина Яковлевна,

МБОУ Алтайской СОШ №1

С. Алтайское , Алтайский район, 2019 год.

II . Основная часть

2. Как графически решить уравнение________________________стр.4

3. Какие бывают функции ?________________________________стр.4

4. Графическое решение линейного уравнения с одной переменной.стр.5

5. Решение квадратного уравнения графическим способом._____ стр6-8

6. Графическое решение смешанных уравнений._______________стр.8-12. 7. Решение квадратных неравенств графическим способом_______стр.13

8. Решение линейных неравенств графическим способом стр 14

IV . Список литературы______________________________________стр.16

Цель моей работы – изложить графический метод решения уравнений и неравенств, который дает возможность определить корни или доказать ,что уравнение корней не имеет ( или решением неравенства является пустое множество).

Актуальность темы : графический метод, опирающийся на знания элементарных функций, удобно применять при решении задач на нахождение числа корней и на нахождение корней уравнений.

Изучение поведения функций и построение их графиков является важным разделом математики. Свободное владение техникой построения графиков часто помогает решать многие задачи и порой является единственным средством решения. Кроме того, умение строить графики функций представляет большой самостоятельный интерес. В данной исследовательской работе я показала как наиболее удобным способом преобразовывать уравнения . чтобы сводить к построению элементарных функций.

Часто построение графиков связано с исследованием поведения функций. Однако необходимость построения графиков не ограничивается только этим. В ряде случаев графики облегчают нахождение решений уравнений и неравенств, сокращая и упрощая аналитические выкладки, и часто при этом являются единственным методом решения таких задач. Данный метод может использоваться не только для одиночных уравнений, но и для их систем, а также неравенств

Уравнение – выражение, содержащее переменную.

Решить уравнение – это значит найти все его корни, или доказать, что их нет.

Корень уравнения – это число, при подстановке которого в уравнение получается верное числовое равенство.

График функции – это множество всех точек координатной плоскости, абсциссы которых равны значениям аргументов, а ординаты – соответствующим значениям функции.

Решение уравнений графическим способом позволяет найти точное или приближенное значение корней, позволяет найти количество корней уравнения.

При построении графиков и решении уравнений используются свойства функции, поэтому метод чаще называют функционально-графическим. Графиком функции y = f(x) называется множество всех точек координатной плоскости.

Заметим , что так как функция f сопоставляет каждому x D(f) одно число f(x) , то график функции f пересекается любой прямой, параллельной оси ординат, не более, чем в одной точке. И наоборот: всякое непустое множество точек плоскости, имеющее со всякой прямой, параллельной оси ординат, не более одной общей точки, является графиком некоторой функции.

Не всякое множество точек координатной плоскости является графиком какой-либо функции. Например, множество точек окружности не может быть графиком функции, поскольку значению абсциссы внутри окружности, соответствует два значения ординаты.

В общем случае уравнение с одной переменой х можно записать в виде f(x)=g(x),где f(x) и g(x) — некоторые функции. Функция f(x) является левой частью , а g(x) — правой частью уравнения.

Тогда для решения уравнения необходимо построить в одной системе координат графики функций f(x) и g(x). Абсциссы точек пересечения будут являться решениями данного уравнения.

Использование монотонности функций при решении уравнений: если функция Методы решения уравнений неравенств докладстрого возрастает, а функция Методы решения уравнений неравенств докладстрого убывает на некотором множестве, то графики этих функций имеют не более одной точки пересечения, а уравнение Методы решения уравнений неравенств докладна этом множестве имеет не более одного решения. Поэтому, чтобы решить такие уравнения можно подобрать (если это удается) число, которое является их корнем.

2. Как графически решить уравнение.

Иногда уравнения решают графическим способом. Для этого надо преобразовать уравнение так (если оно уже не представлено в преобразованном виде), чтобы слева и справа от знака равенства стояли выражения, для которых легко можно нарисовать графики функций. Графическим решением уравнения являются абсциссы точек пересечения графиков построенных функций. Графики могут пересекаться в нескольких точках, в одной точке, вообще не пересекаться. Отсюда следует, что уравнение может иметь несколько корней, или один корень, или вообще их не иметь.

3. Какие бывают функции .

Линейная функция задаётся уравнением у = k*x+ b , где k и b – некоторые числа. Графиком этой функции является прямая. Для построения прямой достаточно в таблице значений взять только две точки. Это вытекает из аксиомы планиметрии

Функция обратной пропорциональности у =k/x , где. График этой функции называется гиперболой.

Функция (х– a)^2+ (у – b)^2 = r^2 , где а , b и r – некоторые числа. Это окружность радиуса r с центром в т. А ( а , b ).

Квадратичная функция y = a *х 2 + b*x+ c , где а, b, с – некоторые числа и

а не равно 0. Графиком этой функции является парабола.

Графики линейных функций, содержащих выражение под знаком модуля.

Для построения графиков функций, содержащих выражение под знаком модуля, сначала находят корни выражений, стоящих под знаком модуля. Эти корни разбивают числовую прямую на промежутки. График строят в каждом промежутке отдельно.

В простейшем случает, когда только одно выражение стоит под знаком модуля и нет слагаемых без знака модуля, можно построить график функций,

опустив знак модуля, а затем часть графика, расположенного в области отрицательных значений y , отобразить симметрично оси ОХ.

Элементарная функций, содержащая модуль :

4. Графическое решение линейного уравнения с одной переменной.

Как мы уже знаем, графиком линейного уравнения является прямая линия, отсюда и название данного вида. Линейные уравнения достаточно легко решать алгебраическим путем – все неизвестные переносим в одну сторону уравнения, все, что нам известно – в другую и уравнение решено. Мы нашли корень .А я покажу , как это сделать графическим способом.

Задание . Решить графическим способом уравнение : 2 x 10 = 2

1)Перенесем слагаемые следующим образом: 2 x = 12.

2) Построим графики функций: y=2x и y=12.

Методы решения уравнений неравенств доклад

Но можно решать и по-другому.

Для рассмотрения альтернативного решения вернемся к нашему уравнению:

Построим графики функций: y=2 x − 10 y =2

Методы решения уравнений неравенств доклад

5. Решение квадратного уравнения графическим способом.

Для этого преобразуем уравнение к виду: х 2 =-2x+8 . Построим графики функций: у = -2x+8 и у = х 2

Методы решения уравнений неравенств доклад

Получим точки пересечения графиков данных функций.

В ответ запишем абсциссы этих точек : x = -4 и x =2.

Данное уравнение можно решить , переписав уравнение следующим образом: x^2 – 8 = -2x

Тогда будем строить графики функций: y = x^2 – 8 и y = -2x.

А также уравнение можно решить , переписав следующим образом:

Тогда будем строить графики следующих функций : y = x^2 + 2x и y = 8 .

При этом абсциссы точек пересечения графиков будут одинаковые :

Задание. Решить уравнение: x² – 2x = 0

Перепишем уравнение в виде : x² = 2x

Построим графики функций y = x² и y = 2 и найдем точки их пересечения :

Методы решения уравнений неравенств доклад

Задание. Решить уравнение: х 2 +2=0

Преобразуем так: х 2 = -2

Построим графики функций: у=-2 и у= х 2

Методы решения уравнений неравенств доклад

Графики функций не пересекаются ,поэтому уравнение решений не имеет.

Ответ : решений нет.

6. Графическое решение смешанных уравнений.

Задание. Решить уравнение: 3/х +2 =х

1)Перенесем слагаемые таким образом: 3/ х = х-2

2) Построим графики функций от каждой части уравнения.

Методы решения уравнений неравенств доклад

Методы решения уравнений неравенств доклад

Найдем координаты точек пересечения графиков данных функций.

Из построения видно, что графики функций пересекаются в точках с координатами : (3;1) и(-1;-3).

Задание. Решить уравнение: 2 х^3 – x — 1=0

Перепишем его так : 2 х 3 = x + 1

Построим графики функций от левой и правой части уравнения:

у= 2 х 3 (графиком этой функции является кубическая парабола) и график от правой части уравнения :у=х+1

Методы решения уравнений неравенств доклад

Из построения видно, что абсцисса точки пересечения является х=1. значит, в ответ нужно записать: х=1

Решим графическим способом такое уравнение : х 3 =8.

Строим графики функций: у = х 3 и у=8., затем найдем абсциссу точки пересечения графиков этих функций.

Задание. Решить уравнение: √x – 0.5x = 0

Перепишем так: √x = 0.5x

Построим графики функций: у= 0.5x и у = √x

Методы решения уравнений неравенств доклад

Как видно из построения, графики функций пересекаются в двух точках:

Нас интересует только координата x.

Значит уравнение √x – 0.5x = 0 имеет два корня: x 1 = 0 и x 2 = 4.

7. Решение квадратных неравенств графическим способом.

Способ , который нам хорошо известен при изучении данной темы по учебнику. Методы решения уравнений неравенств доклад

Я же предлагаю переписать неравенство следующим образом : х^2-4>3х.

Построим графики функций от левой и правой частей неравенства.

Выделим ту часть, где график от левой части выше графика от правой части.

На мой взгляд такое решение более красивое , интересное и более понятное.

Методы решения уравнений неравенств доклад

8. Решение линейных неравенств и систем неравенств графическим способом.

Методы решения уравнений неравенств доклад, Методы решения уравнений неравенств доклад

Называют ся линейными неравенствами .

График линейного или квадратного неравенства строится так же, как строится график любой функции (уравнения).

Разница заключается в том, что неравенство подразумевает наличие множества решений, поэтому график неравенства представляет собой не просто точку на числовой прямой или линию на координатной плоскости.

С помощью математических операций и знака неравенства можно определить множество решений неравенства

Вообще графический способ решения неравенств с одной переменной применяется не только для решения квадратных неравенств, но и неравенств других видов.

Суть графического способа решения неравенств следующая:

рассматривают функции y = f(x) и y = g(x) , которые соответствуют левой и правой частям неравенства, строят их графики в одной прямоугольной системе координат и выясняют, на каких промежутках график одной из них располагается ниже или выше другого.

Те промежутки, на которых график функции у = f (х) выше графика функции y = g(х) являются решениями неравенства f(x)>g(x) ;

график функции y = f(х) не ниже графика функции y = g(x) являются решениями неравенства f(x) ≥ g(x) ;

график функции у = f (х) ниже графика функции y = g(х) являются решениями неравенства f(x) ;

график функции y = f(х) не выше графика функции y = g(х) являются решениями неравенства f(x) ≤ g(x) .

Также скажем, что абсциссы точек пересечения графиков функций y = f(x) и y = g(x) , являются решениями уравнения f(x) = g(x) .

Мы рассмотрели графический метод решения уравнений и квадратных неравенств; рассмотрели конкретные примеры, при решении которых использовали некоторые свойства функций.

Иногда при графическом решении некоторых уравнений и неравенств корни определяются только приближённо в силу того, что невозможно с высокой точностью построить график функции, измерить абсциссы или ординаты точек пересечения графика с осями координат или с другими графиками. Тем не менее, той точности, которую обеспечивает графический метод, бывает вполне достаточно для практических нужд.

Построение графиков основывается на знании основных элементарных функций, и на основные методы построения графиков функций. В работе представлено достаточное количество примеров, раскрывающих графический метод решения линейных и квадратных уравнений и неравенств, который доступен для понимания .

Работа может быть использована для углубления и расширения знаний в области построения графиков функций и использовании графического метода при решении некоторых видов уравнений и неравенств. Теорию можно использовать так же при подготовки к экзаменам , к олимпиадам.

Я свою работу представляла учащимся 8-х и 9-х классов нашей школы. И продолжаю дополнять свои исследования , а именно находить красивые решения линейных неравенств и систем неравенств.

Это и закрепление изученных свойств функций, и прекрасная демонстрация их применения на практике.

В старших классах я буду ещё знакомиться с другими функциями , с другими уравнениями и неравенствами и м не интересно будет продолжить свой проект.

Поделиться или сохранить к себе:
Название: Неравенства
Раздел: Рефераты по математике
Тип: реферат Добавлен 07:49:03 29 сентября 2010 Похожие работы
Просмотров: 2003 Комментариев: 21 Оценило: 8 человек Средний балл: 4.1 Оценка: 4 Скачать